Информационная система
«Ёшкин Кот»

Скачать базу одним архивом
Скачать обновления
История создания базы
Карта сайта

Скачать ГОСТ 15834-2016 Проволока из бериллиевой бронзы. Технические условия

Дата актуализации: 10.08.2017

ГОСТ 15834-2016

Проволока из бериллиевой бронзы. Технические условия

Обозначение: ГОСТ 15834-2016
Обозначение англ: GOST 15834-2016
Статус:взамен
Название рус.:Проволока из бериллиевой бронзы. Технические условия
Название англ.:Wire of beryllium bronze. Technical conditions
Дата добавления в базу:01.02.2017
Дата актуализации:05.05.2017
Дата введения:01.04.2017
Область применения:Стандарт распространяется на проволоку круглого сечения бериллиевой бронзы (далее - проволока), применяемую в прибора- и машиностроении. Стандарт устанавливает сортамент, технические требования, правила приемки, методы контроля и испытаний, правила упаковки, маркировки, транспортирования и хранения проволоки.
Оглавление:1 Область применения
2 Нормативные ссылки
3 Термины и определения
4 Сортамент
5 Технические требования
6 Правила приемки
7 Методы контроля и испытаний
8 Упаковка, маркировка, транспортирование и хранение
9 Гарантии изготовителя
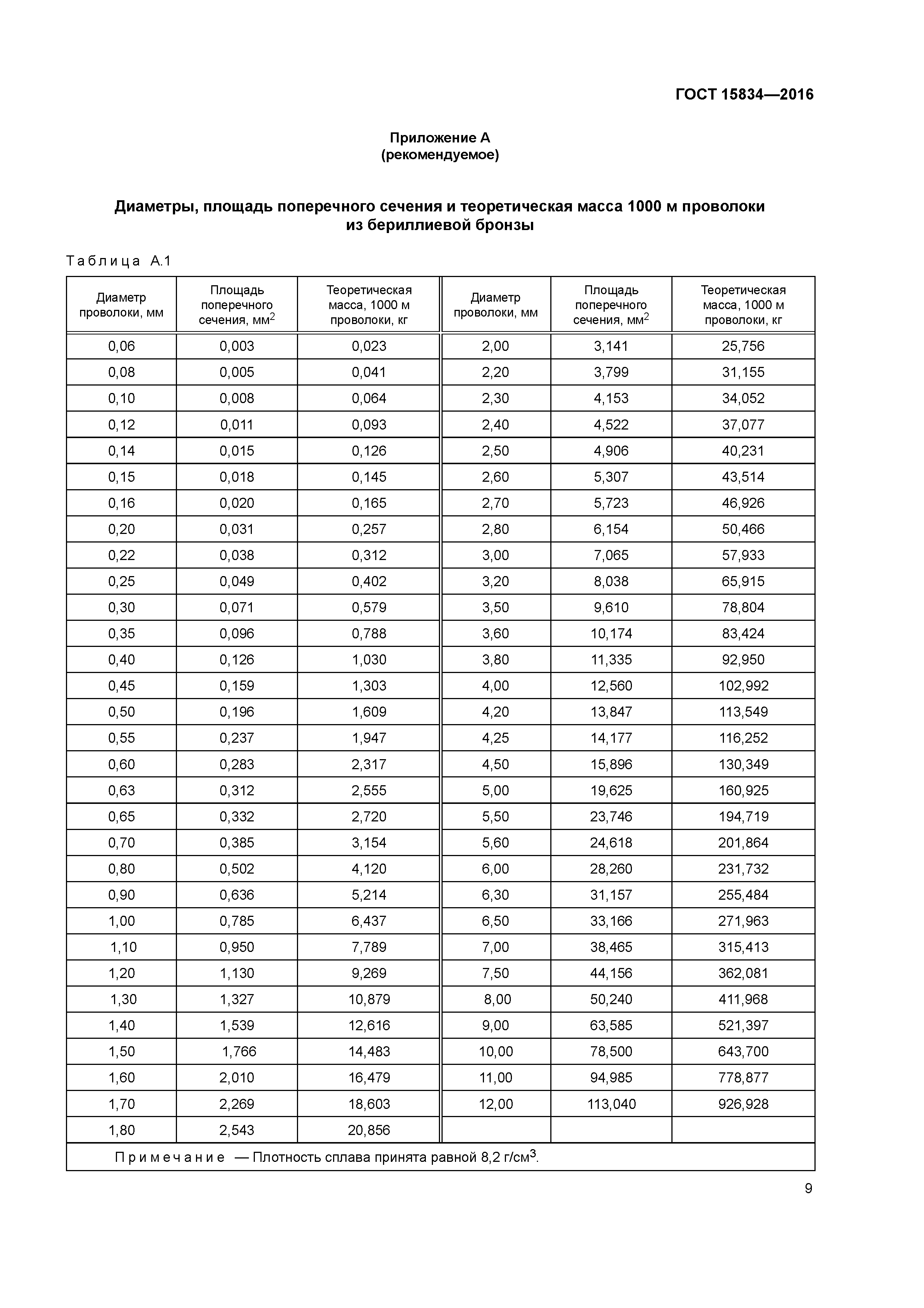
Приложение А (рекомендуемое) диаметры, площадь поперечного сечения и теоретическая масса 1000 м проволоки из бериллиевой бронзы
Приложение Б (справочное) Физико-химические свойства проволоки из бериллиевой бронзы марки БрБ2
Приложение В (обязательное) Режимы термической обработки образцов, изготовленных из бериллиевой бронзы
Приложение Г (обязательное) Масса отрезка проволоки в мотке или на катушке(шпуле)
Разработан: ТК 106 Цветметпрокат
АО Институт Цветметобработка
Утверждён:29.02.2016 Межгосударственный Совет по стандартизации, метрологии и сертификации (Inter-Governmental Council on Standardization, Metrology, and Certification 85-П)
26.07.2016 Федеральное агентство по техническому регулированию и метрологии (882-ст)
Издан: Стандартинформ (2016 г. )
Расположен в:Техническая документация Электроэнергия МЕТАЛЛУРГИЯ Продукция из цветных металлов Продукция из меди Экология МЕТАЛЛУРГИЯ Продукция из цветных металлов Продукция из меди
Заменяет собой:
Нормативные ссылки:
ГОСТ 15834-2016ГОСТ 15834-2016ГОСТ 15834-2016ГОСТ 15834-2016ГОСТ 15834-2016ГОСТ 15834-2016ГОСТ 15834-2016ГОСТ 15834-2016ГОСТ 15834-2016ГОСТ 15834-2016ГОСТ 15834-2016ГОСТ 15834-2016ГОСТ 15834-2016ГОСТ 15834-2016ГОСТ 15834-2016

© 2013 Ёшкин Кот :-) Карта сайта