Скачать РБ 106-15 Руководство по безопасности при использовании атомной энергии Рекомендуемые методы расчета параметров, необходимых для разработки и установления нормативов предельно допустимых выбросов радиоактивных веществ в атмосферный воздухДата актуализации: 10.08.2017 РБ 106-15
Руководство по безопасности при использовании атомной энергии "Рекомендуемые методы расчета параметров, необходимых для разработки и установления нормативов предельно допустимых выбросов радиоактивных веществ в атмосферный воздух"Обозначение: | РБ 106-15 | Обозначение англ: | RB 106-15 | Статус: | действует | Название рус.: | Руководство по безопасности при использовании атомной энергии "Рекомендуемые методы расчета параметров, необходимых для разработки и установления нормативов предельно допустимых выбросов радиоактивных веществ в атмосферный воздух" | Дата добавления в базу: | 05.05.2017 | Дата актуализации: | 05.05.2017 | Область применения: | Руководство по безопасности содержит рекомендуемые Федеральной службой по экологическому, технологическому и атомному надзору методы расчета параметров, необходимых для разработки и установления нормативов предельно допустимых выбросов радиоактивных веществ в атмосферных воздух.
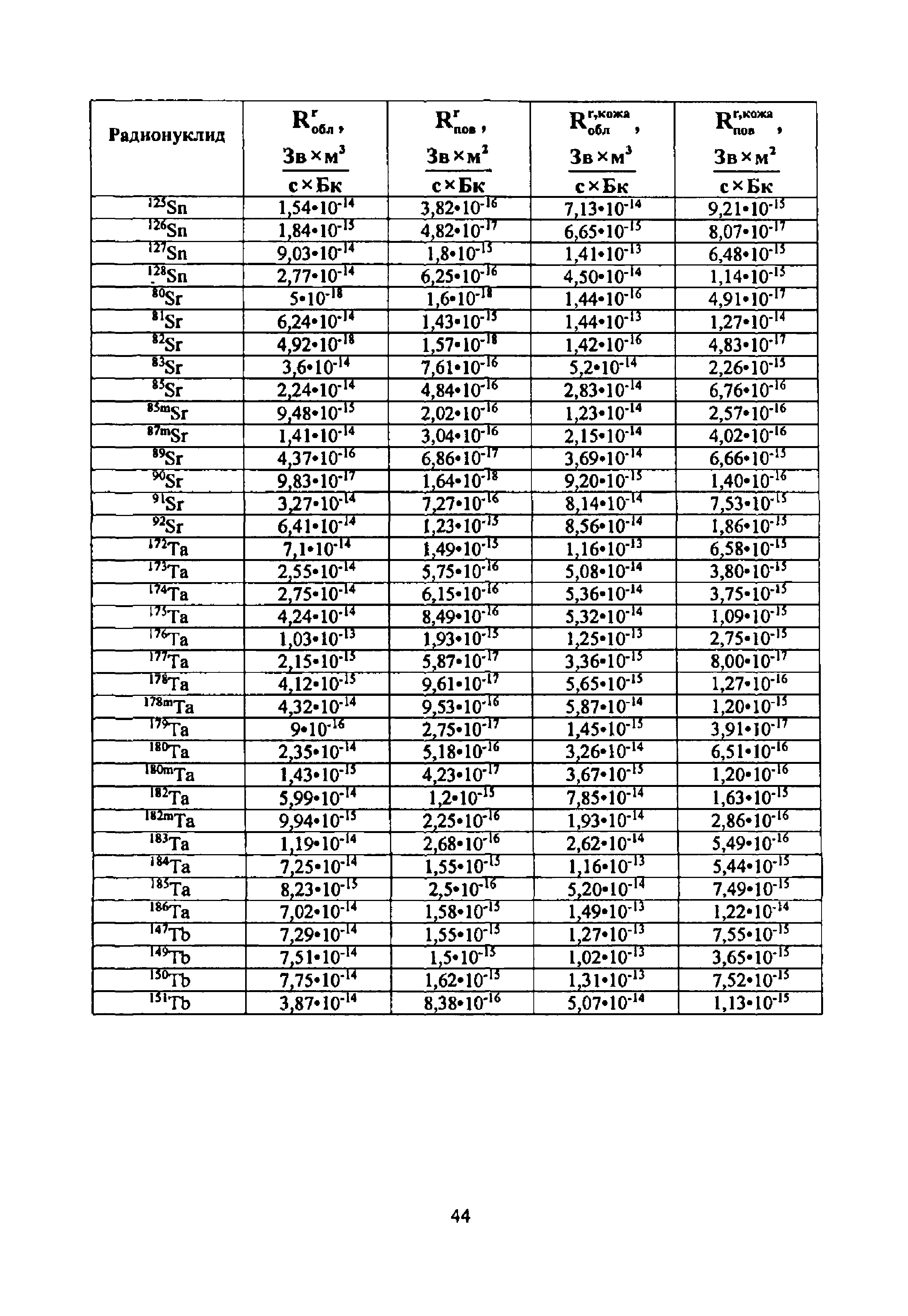
Руководств по безопасности распространяется на объекты использования атомной энергии, осуществляющие выбросы радиоактивных веществ в атмосферный воздух. | Оглавление: | I. Общие положения II. Рекомендуемые методы расчета радиоэкологических и метеорологических параметров, необходимых для разработки и установления нормативов предельно допустимых выбросов радиоактивных веществ в атмосферный воздух III. Рекомендации по определению подлежащего нормированию радионуклидного состава выбросов в целях разработки нормативов предельно допустимых выбросов IV. Рекомендации по применению рассчитанных параметров для расчета нормативов предельно допустимых выбросов V. Рекомендации по установлению контрольных уровней выбросов радиоактивных веществ в атмосферный воздух Приложение № 1. Рекомендуемый порядок расчета фактора разбавления, факторов сухого осаждения и влажного выведения Приложение № 2. Рекомендуемые значения параметров, используемых при расчете доз облучения человека Приложение № 3. Рекомендации по определению значений параметров, входящих в состав формул для расчета факторов разбавления, факторов сухого осаждения и влажного выведения Приложение № 4. пример расчета параметров, необходимых для расчета нормативов предельно допустимых выбросов | Разработан: | ФБУ НТЦ ЯРБ
| Утверждён: | 11.11.2015 Федеральная служба по экологическому, технологическому и атомному надзору (458)
| Издан: | ФБУ НТЦ ЯРБ (2015 г. )
| Расположен в: |
| Нормативные ссылки: | |
                                                                         
|