Информационная система
«Ёшкин Кот»

Скачать базу одним архивом
Скачать обновления
История создания базы
Карта сайта

Скачать ГОСТ 33630-2015 Сыры и сыры плавленые. Методы контроля органолептических показателей

Дата актуализации: 10.08.2017

ГОСТ 33630-2015

Сыры и сыры плавленые. Методы контроля органолептических показателей

Обозначение: ГОСТ 33630-2015
Обозначение англ: GOST 33630-2015
Статус:введен впервые
Название рус.:Сыры и сыры плавленые. Методы контроля органолептических показателей
Название англ.:Cheese and processed cheese. Methods for control of organoleptic properties
Дата добавления в базу:01.02.2017
Дата актуализации:05.05.2017
Дата введения:01.07.2016
Область применения:Стандарт распространяется на сыры (полутвердые, мягкие, рассольные, с чеддеризацией и термомеханической обработкой сырной массы) и плавленые сыры (ломтевые и пастообразные, в т.ч. сладкие) и устанавливает методы контроля по определению и оценке органолептических показателей. Допускается проведение отбора проб и использование настоящих методов определения органолептических показателей для всех продуктов сыроделия.
Оглавление:1 Область применения
2 Нормативные ссылки
3 Термины и определения
4 Сущность методов
5 Отбор проб
6 Требования к условиям проведения органолептических испытаний
7 Экспертная (дегустационная) комиссия
8 Подготовка проб для органолептических испытаний
9 Методы контроля органолептических показателей
10 Обработка результатов испытаний
11 Требования безопасности
Приложение А (обязательное) Вид и размеры щупов для отбора проб сыра
Приложение Б (рекомендуемое) Акт отбора проб сыра
Приложение В (обязательное) Органолептические показатели полутвердых сыров
Приложение Г (обязательное) Органолептические показатели мягких сыров
Приложение Д (обязательное) Органолептические показатели рассольных сыров
Приложение Е (обязательное) Органолептические показатели сыров с чеддеризацией и термомеханической обработкой сырной массы
Приложение Ж (рекомендуемое) Экспертный лист полутвердых сыров
Приложение И (рекомендуемое) Экспертный лист сыров мягких, рассольных, с чеддеризацией и термомеханической обработкой сырной массы
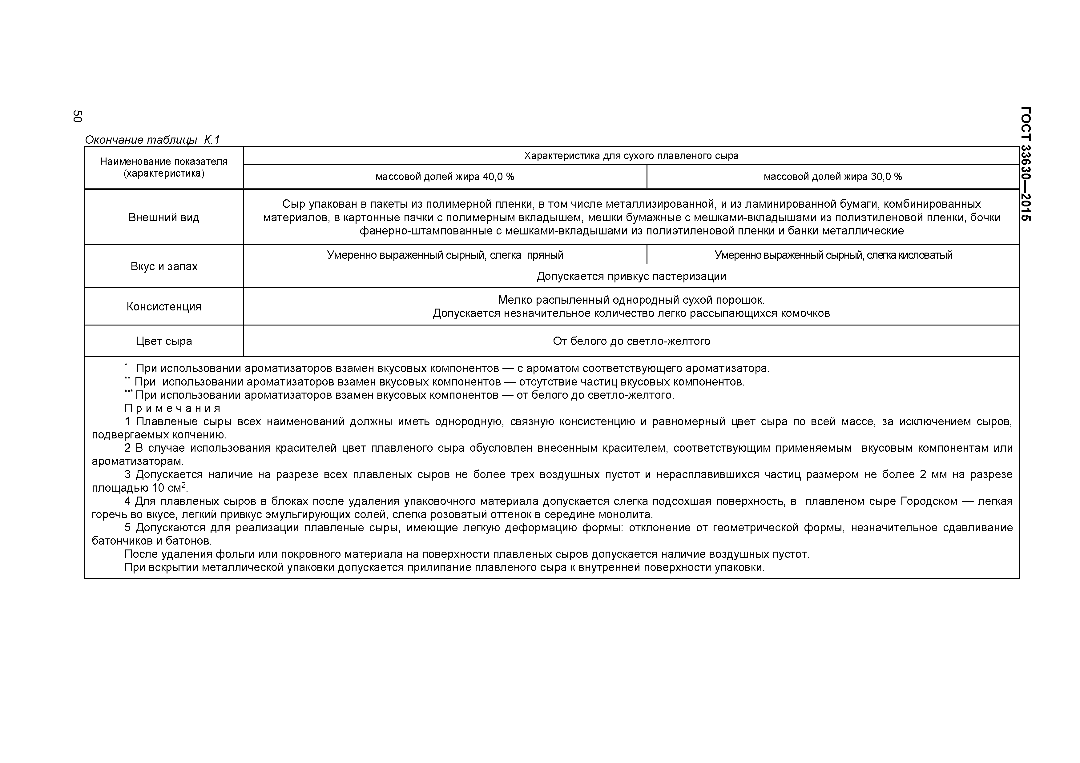
Приложение К (обязательное) Органолептические показатели плавленых сыров
Приложение Л (рекомендуемое) Экспертный лист плавленых сыров
Библиография
Разработан: ФГБНУ ВНИИМС
Утверждён:27.10.2015 Межгосударственный Совет по стандартизации, метрологии и сертификации (Inter-Governmental Council on Standardization, Metrology, and Certification 81-П)
07.12.2015 Федеральное агентство по техническому регулированию и метрологии (2112-ст)
Издан: Стандартинформ (2016 г. )
Расположен в:Техническая документация Электроэнергия ПРОИЗВОДСТВО ПИЩЕВЫХ ПРОДУКТОВ Молоко и молочные продукты Сыр Экология ПРОИЗВОДСТВО ПИЩЕВЫХ ПРОДУКТОВ Молоко и молочные продукты Сыр
Нормативные ссылки:
ГОСТ 33630-2015ГОСТ 33630-2015ГОСТ 33630-2015ГОСТ 33630-2015ГОСТ 33630-2015ГОСТ 33630-2015ГОСТ 33630-2015ГОСТ 33630-2015ГОСТ 33630-2015ГОСТ 33630-2015ГОСТ 33630-2015ГОСТ 33630-2015ГОСТ 33630-2015ГОСТ 33630-2015ГОСТ 33630-2015ГОСТ 33630-2015ГОСТ 33630-2015ГОСТ 33630-2015ГОСТ 33630-2015ГОСТ 33630-2015ГОСТ 33630-2015ГОСТ 33630-2015ГОСТ 33630-2015ГОСТ 33630-2015ГОСТ 33630-2015ГОСТ 33630-2015ГОСТ 33630-2015ГОСТ 33630-2015ГОСТ 33630-2015ГОСТ 33630-2015ГОСТ 33630-2015ГОСТ 33630-2015ГОСТ 33630-2015ГОСТ 33630-2015ГОСТ 33630-2015ГОСТ 33630-2015ГОСТ 33630-2015ГОСТ 33630-2015ГОСТ 33630-2015ГОСТ 33630-2015ГОСТ 33630-2015ГОСТ 33630-2015ГОСТ 33630-2015ГОСТ 33630-2015ГОСТ 33630-2015ГОСТ 33630-2015ГОСТ 33630-2015ГОСТ 33630-2015ГОСТ 33630-2015ГОСТ 33630-2015ГОСТ 33630-2015ГОСТ 33630-2015ГОСТ 33630-2015ГОСТ 33630-2015ГОСТ 33630-2015ГОСТ 33630-2015ГОСТ 33630-2015ГОСТ 33630-2015

© 2013 Ёшкин Кот :-) Карта сайта