Информационная система
«Ёшкин Кот»

Скачать базу одним архивом
Скачать обновления
История создания базы
Карта сайта

Скачать ГОСТ IEC 61606-2-2014 Аудио- и аудиовизуальное оборудование. Компоненты цифровой аудиоаппаратуры. Основные методы измерений звуковых характеристик. Часть 2. Бытовое применение

Дата актуализации: 10.08.2017

ГОСТ IEC 61606-2-2014

Аудио- и аудиовизуальное оборудование. Компоненты цифровой аудиоаппаратуры. Основные методы измерений звуковых характеристик. Часть 2. Бытовое применение

Обозначение: ГОСТ IEC 61606-2-2014
Обозначение англ: 61606-2-2014
Статус:введен впервые
Название рус.:Аудио- и аудиовизуальное оборудование. Компоненты цифровой аудиоаппаратуры. Основные методы измерений звуковых характеристик. Часть 2. Бытовое применение
Название англ.:Audio and audiovisual equipment. Digital audio parts. Basic measurement methods of audio characteristics. Part 2. Consumer use
Дата добавления в базу:01.02.2017
Дата актуализации:05.05.2017
Дата введения:01.11.2016
Область применения:Стандарт устанавливает основные методы измерений аудио-характеристик цифрового аудио-компонента аудио- и аудио-видео оборудования для бытового использования потребителем.
Оглавление:1 Область применения
2 Нормативные ссылки
3 Термины, определения, разъяснения и номинальные значения
   3.1 Термины и определения
   3.2 Разъяснение термина «Неустойчивая синхронизация
   3.3 Цифровой интерфейс для измерения
   3.4 Номинальные значения
4 Условия измерений
   4.1 Общие условия
   4.2 Условия окружающей среды
   4.3 Энергоснабжение
   4.4 Частоты измерительного сигнала
   4.5 Стандартная настройка
   4.6 Предварительная выдержка при заданных условиях
   4.7 Измерительные приборы
      4.7.1 Общие положения
      4.7.2 Цифровой измеритель уровня
      4.7.3 Измеритель искажений
      4.7.4 Аналоговый взвешивающий фильтр
      4.7.5 Цифровой взвешивающий фильтр
      4.7.6 Цифровой анализатор спектра
5 Методы измерений (цифровой вход/аналоговый выход
   5.1 Общие положения
   5.2 Характеристики входного/выходного сигналов
      5.2.1 Максимальная амплитуда выходного сигнала
      5.2.2 Различие коэффициентов усиления каналов
   5.3 Амплитудно-частотные характеристики
      5.3.1 Частотные характеристики
      5.3.2 Групповое время задержки (линейность фазочастотной характеристики)
   5.4 Шумовые характеристики
      5.4.1 Отношение сигнал-шум
      5.4.2 Динамический диапазон
      5.4.3 Коэффициент шумов (отношение выходной мощности к входной) вне полосы частот
      5.4.4 Разделение каналов (переходное затухание)
   5.5 Характеристики искажения
      5.5.1 Нелинейность уровня
      5.5.2 Искажение и шум
      5.5.3 Интермодуляция (нелинейные искажения)
6 Методы измерений (аналоговый вход/цифровой выход)
   6.1 Общие положения
   6.2 Характеристики входного/выходного сигналов
      6.2.1 Калибровка уровня аналогового сигнала по отношению к цифровому сигналу
      6.2.2 Максимальная допустимая амплитуда входного сигнала
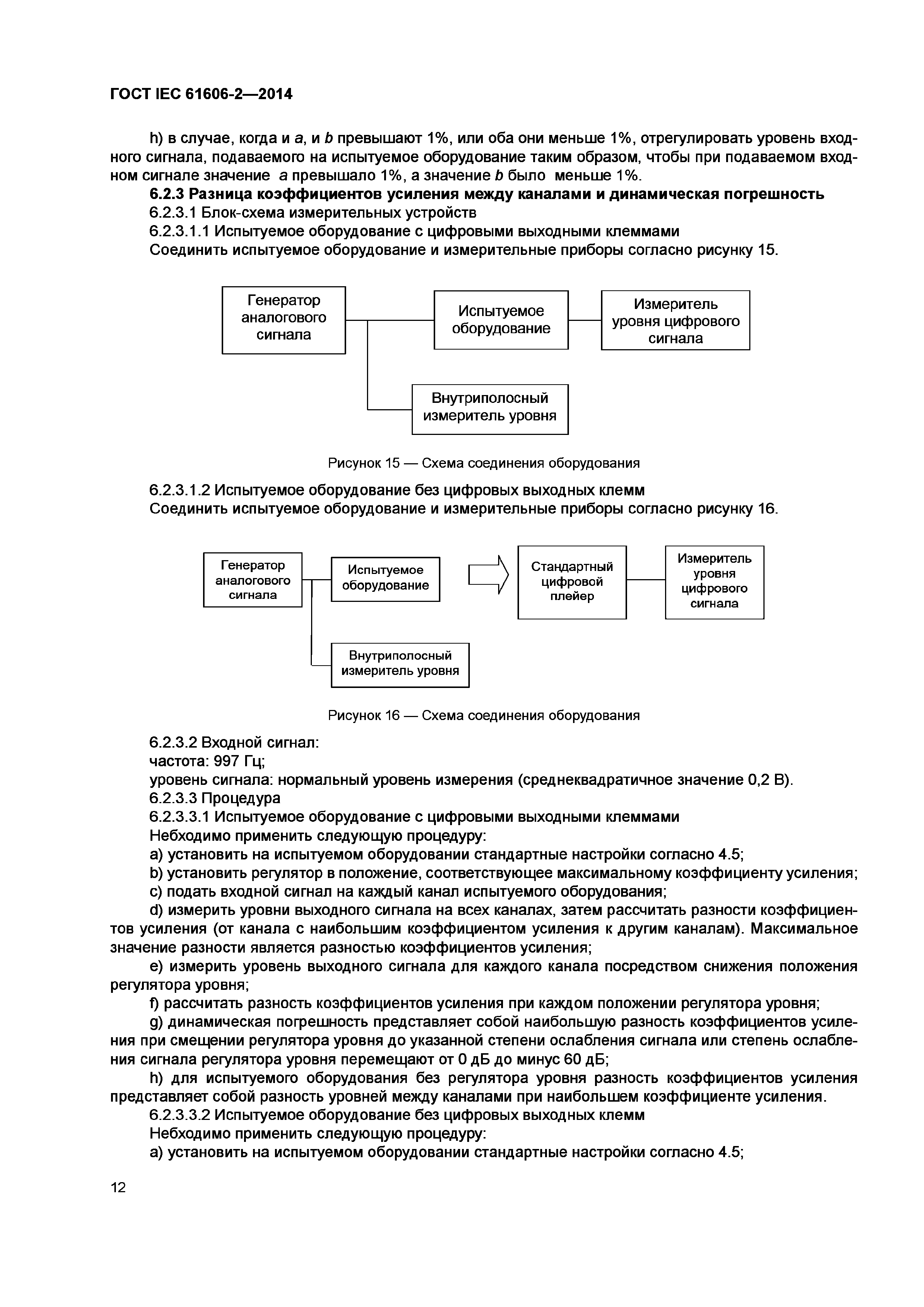
      6.2.3 Разница коэффициентов усиления между каналами и динамическая погрешность
   6.3 Амплитудно-частотные характеристики
      6.3.1 Частотная характеристика
      6.3.2 Групповое время задержки
   6.4 Характеристики помех (шумов)
      6.4.1 Отношение сигнал-шум (шум в ненагруженном канале)
      6.4.2 Динамический диапазон
      6.4.3 Множественные шумы
      6.4.4 Перекрестная (переходная) помеха
      6.4.5 Разделение каналов
   6.5 Характеристики искажения
      6.5.1 Нелинейность уровня
      6.5.2 Искажение и шум
      6.5.3 Интермодуляция (нелинейные искажения)
Приложение ДА (справочное) Сведения о соответствии межгосударственных стандартов ссылочным международным стандартам
Разработан: АНО НТЦ СЭ ИСЭП
Утверждён:04.12.2014 Межгосударственный Совет по стандартизации, метрологии и сертификации (Inter-Governmental Council on Standardization, Metrology, and Certification 46)
31.08.2015 Федеральное агентство по техническому регулированию и метрологии (1230-ст)
Издан: Стандартинформ (2016 г. )
Расположен в:Техническая документация Электроэнергия ТЕЛЕКОММУНИКАЦИИ. АУДИО-И ВИДЕОТЕХНИКА Аудио-, видео- и аудиовизуальная техника Аудио-, видео- и аудиовизуальные системы в целом Экология ТЕЛЕКОММУНИКАЦИИ. АУДИО-И ВИДЕОТЕХНИКА Аудио-, видео- и аудиовизуальная техника Аудио-, видео- и аудиовизуальные системы в целом
Нормативные ссылки:
ГОСТ IEC 61606-2-2014ГОСТ IEC 61606-2-2014ГОСТ IEC 61606-2-2014ГОСТ IEC 61606-2-2014ГОСТ IEC 61606-2-2014ГОСТ IEC 61606-2-2014ГОСТ IEC 61606-2-2014ГОСТ IEC 61606-2-2014ГОСТ IEC 61606-2-2014ГОСТ IEC 61606-2-2014ГОСТ IEC 61606-2-2014ГОСТ IEC 61606-2-2014ГОСТ IEC 61606-2-2014ГОСТ IEC 61606-2-2014ГОСТ IEC 61606-2-2014ГОСТ IEC 61606-2-2014ГОСТ IEC 61606-2-2014ГОСТ IEC 61606-2-2014ГОСТ IEC 61606-2-2014ГОСТ IEC 61606-2-2014ГОСТ IEC 61606-2-2014ГОСТ IEC 61606-2-2014ГОСТ IEC 61606-2-2014ГОСТ IEC 61606-2-2014ГОСТ IEC 61606-2-2014ГОСТ IEC 61606-2-2014ГОСТ IEC 61606-2-2014ГОСТ IEC 61606-2-2014ГОСТ IEC 61606-2-2014ГОСТ IEC 61606-2-2014ГОСТ IEC 61606-2-2014ГОСТ IEC 61606-2-2014ГОСТ IEC 61606-2-2014

© 2013 Ёшкин Кот :-) Карта сайта