Информационная система
«Ёшкин Кот»

Скачать базу одним архивом
Скачать обновления
История создания базы
Карта сайта

Скачать ГОСТ Р 56453-2015 Телевидение вещательное цифровое. Структура и модуляция опциональных сигнатур передатчиков (Т2-TX-SIG) системы цифрового телевизионного вещания второго поколения (DVB-T2). Основные параметры

Дата актуализации: 10.08.2017

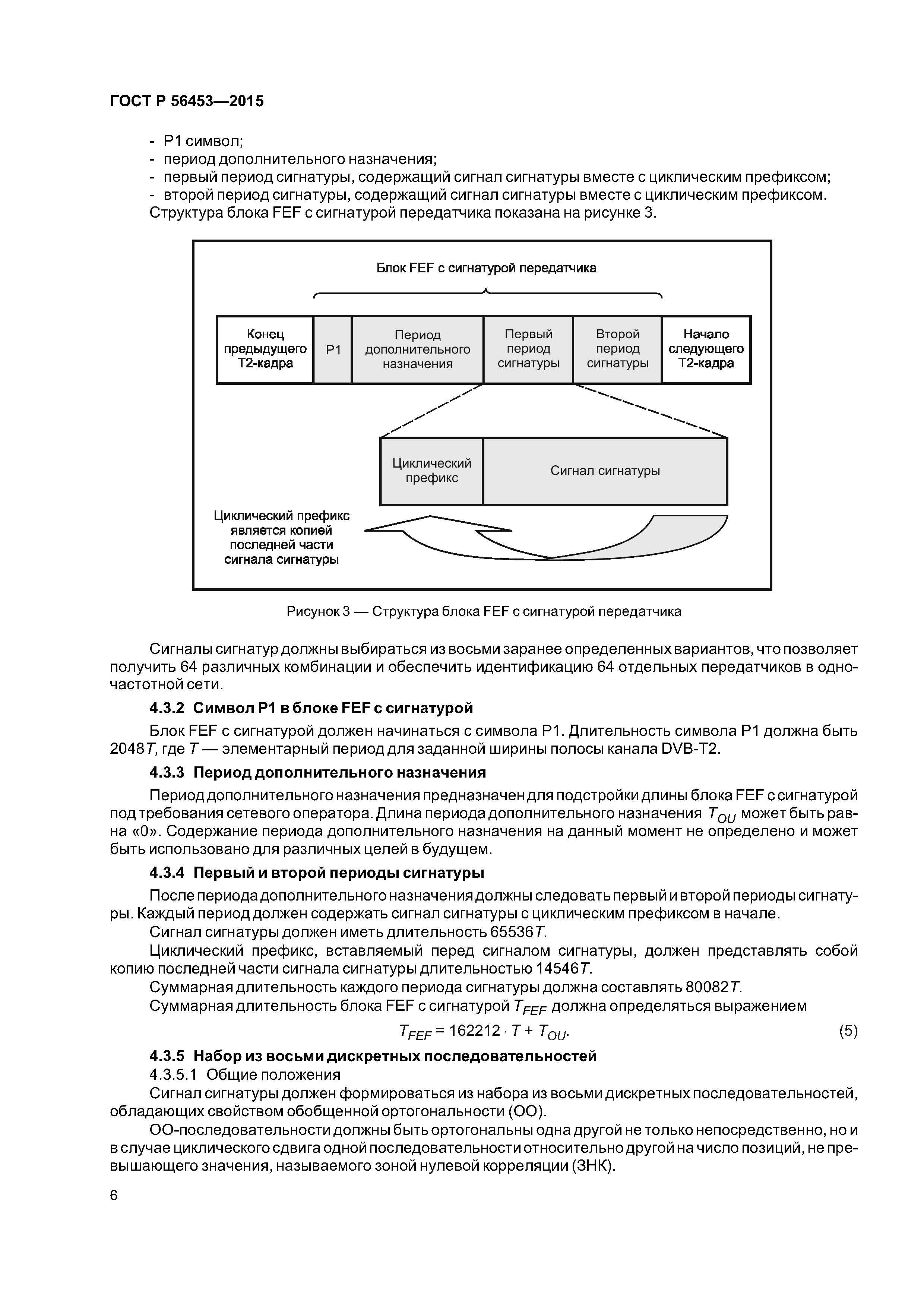
ГОСТ Р 56453-2015

Телевидение вещательное цифровое. Структура и модуляция опциональных сигнатур передатчиков (Т2-TX-SIG) системы цифрового телевизионного вещания второго поколения (DVB-T2). Основные параметры

Обозначение: ГОСТ Р 56453-2015
Обозначение англ: GOST R 56453-2015
Статус:введен впервые
Название рус.:Телевидение вещательное цифровое. Структура и модуляция опциональных сигнатур передатчиков (Т2-TX-SIG) системы цифрового телевизионного вещания второго поколения (DVB-T2). Основные параметры
Название англ.:Digital video broadcasting. Structure and modulation of optional transmitter signatures (T2-TX-SIG) for a second generation digital terrestrial television broadcasting system (DVB-T2). Basic parameters
Дата добавления в базу:12.02.2016
Дата актуализации:05.05.2017
Дата введения:01.09.2015
Область применения:Стандарт распространяется опциональные сигнатуры передатчиков (T2-TX-SIG) для системы цифрового телевизионного вещания второго поколения (DVB-T2). Стандарт устанавливает основные параметры опциональных сигнатур передатчиков (T2-TX-SIG) при их работе преимущественно в составе одночастотных сетей DVB-T2 для целей оперативного обслуживания, мониторинга и поиска неисправностей в данных сетях. Требования стандарта следует учитывать при разработке, изготовлении и эксплуатации оборудования DVB-T2.
Оглавление:1 Область применения
2 Нормативные ссылки
3 Термины, определения и сокращения
4 Основные параметры
   4.1 Общие положения
   4.2 Сигнатура передатчика в дополнительном потоке
   4.3 Сигнатура передатчика в блоках FEF
Разработан: Филиал ФГУП НИИР - СОНИИР
Утверждён:15.06.2015 Федеральное агентство по техническому регулированию и метрологии (674-ст)
Издан: Стандартинформ (2015 г. )
Расположен в:Техническая документация Электроэнергия ТЕЛЕКОММУНИКАЦИИ. АУДИО-И ВИДЕОТЕХНИКА Теле- и радиовещание Экология ТЕЛЕКОММУНИКАЦИИ. АУДИО-И ВИДЕОТЕХНИКА Теле- и радиовещание
Нормативные ссылки:
ГОСТ Р 56453-2015ГОСТ Р 56453-2015ГОСТ Р 56453-2015ГОСТ Р 56453-2015ГОСТ Р 56453-2015ГОСТ Р 56453-2015ГОСТ Р 56453-2015ГОСТ Р 56453-2015ГОСТ Р 56453-2015ГОСТ Р 56453-2015ГОСТ Р 56453-2015ГОСТ Р 56453-2015ГОСТ Р 56453-2015ГОСТ Р 56453-2015

© 2013 Ёшкин Кот :-) Карта сайта