Скачать АЗ-1036 Руководство по подбору радиальных вентиляторов ВР 80-75, ВР 80-76, В-Ц4-76, В-Ц14-46Дата актуализации: 10.08.2017 АЗ-1036
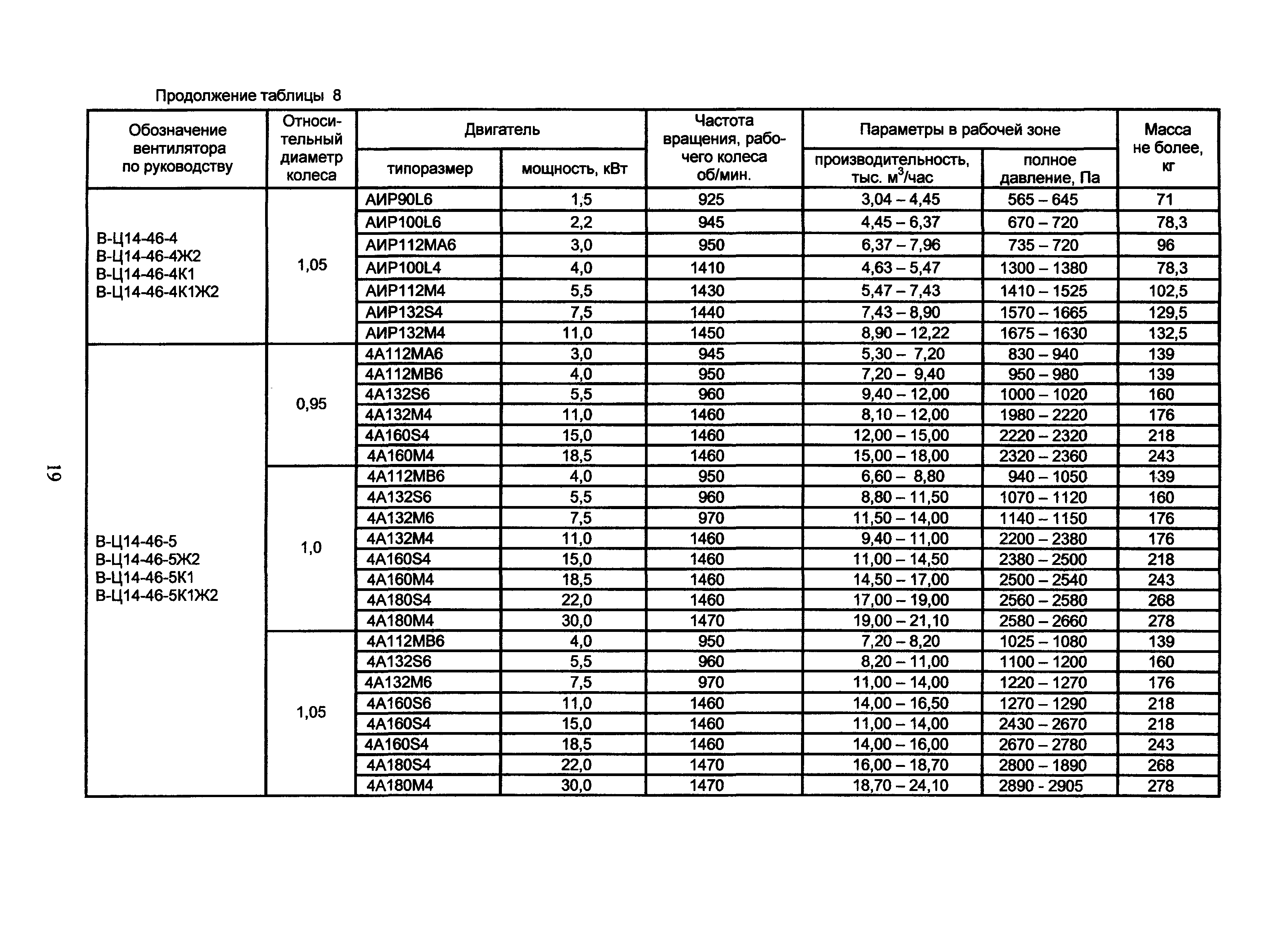
Руководство по подбору радиальных вентиляторов ВР 80-75, ВР 80-76, В-Ц4-76, В-Ц14-46Обозначение: | АЗ-1036 | Обозначение англ: | АЗ-1036 | Статус: | cправочные материалы, мп, тпр | Название рус.: | Руководство по подбору радиальных вентиляторов ВР 80-75, ВР 80-76, В-Ц4-76, В-Ц14-46 | Дата добавления в базу: | 12.02.2016 | Дата актуализации: | 05.05.2017 | Область применения: | Руководство содержит технические данные, указания по подбору, аэродинамические характеристики, габаритные, установочные и присоединительные размеры радиальных вентиляторов ВР 80-75, ВР 80-76, В-Ц4-76 и В-Ц14-46, в том числе, общего назначения из углеродистых сталей, коррозионностойких из нержавеющей стали, теплостойких, взрывозащищенных из разнородных металлов и алюминиевых сплавов. | Оглавление: | 1 Общие указания 2 Условные обозначения 3 Подбор вентиляторов Приложение А. Размеры и технические характеристики виброизоляторов Приложение Б. Динамические нагрузки от виброизолированных вентиляторов Приложение В. Перечень технических условий на вентиляторы, приведенные в Руководстве | Разработан: | ФГУП СантехНИИпроект
| Утверждён: | ФГУП СантехНИИпроект
| Принят: | Госстрой России (Russian Federation Gosstroy )
| Расположен в: |
|
                                                                                                              
|