Информационная система
«Ёшкин Кот»

Скачать базу одним архивом
Скачать обновления
История создания базы
Карта сайта

Скачать ГОСТ Р МЭК 61360-2-2013 Стандартные типы элементов данных с ассоциированной схемой классификации электрических компонентов. Часть 2. Словарная схема EXPRESS

Дата актуализации: 10.08.2017

ГОСТ Р МЭК 61360-2-2013

Стандартные типы элементов данных с ассоциированной схемой классификации электрических компонентов. Часть 2. Словарная схема EXPRESS

Обозначение: ГОСТ Р МЭК 61360-2-2013
Обозначение англ: GOST R IEC 61360-2-2013
Статус:введен впервые
Название рус.:Стандартные типы элементов данных с ассоциированной схемой классификации электрических компонентов. Часть 2. Словарная схема EXPRESS
Название англ.:Standard data element types with associated classification scheme for electric components. Part 2. EXPRESS dictionary schema
Дата добавления в базу:01.02.2017
Дата актуализации:05.05.2017
Дата введения:01.09.2014
Область применения:В стандарте установлена формальная модель данных в соответствии с заданной областью применения МЭК 61360-1 и ИСО 13584-42. Стандарт обеспечивает возможность компьютерного представления данных и обмен ими. В стандарте установлена общая информационная модель, разработанная комитетами МЭК/ПК3D и ИСО/ТК184/ПК4. Модель обеспечивает практическую реализацию словарных систем, работающих с данными, предоставленными в соответствии с каждым из указанных стандартов. Стандарт распространяется на общую словарную схему ИСО/МЭК. Она располагается на пересечении областей применения двух базовых стандартов МЭК 61360-1 и ИСО 13584-42.
Оглавление:1 Область применения
2 Нормативные ссылки
3 Термины и определения
4 Общая словарная схема и ее совместимость со стандартной словарной схемой ISO13584_IEC61360_dictionary_schema
   4.1 Общие положения
   4.2 Использование общей словарной схемы для обмена данных, соответствующих требованиям МЭК 61360-1
   4.3 Совместимость с ИСО 13584-42
   4.4 Соответствие названий, используемых в МЭК 61360-1 и МЭК 61360-2
   4.5 Основная структура общей словарной схемы
5 Стандартная словарная схема ISO13584_IEC61360_dictionary _schema
   5.1 Общие положения
   5.2 Словарная схема
   5.3 Ссылки на другие схематики
   5.4 Определения констант
   5.5 Идентификация словаря
   5.6 Базовые семантические единицы: определения и использование словаря
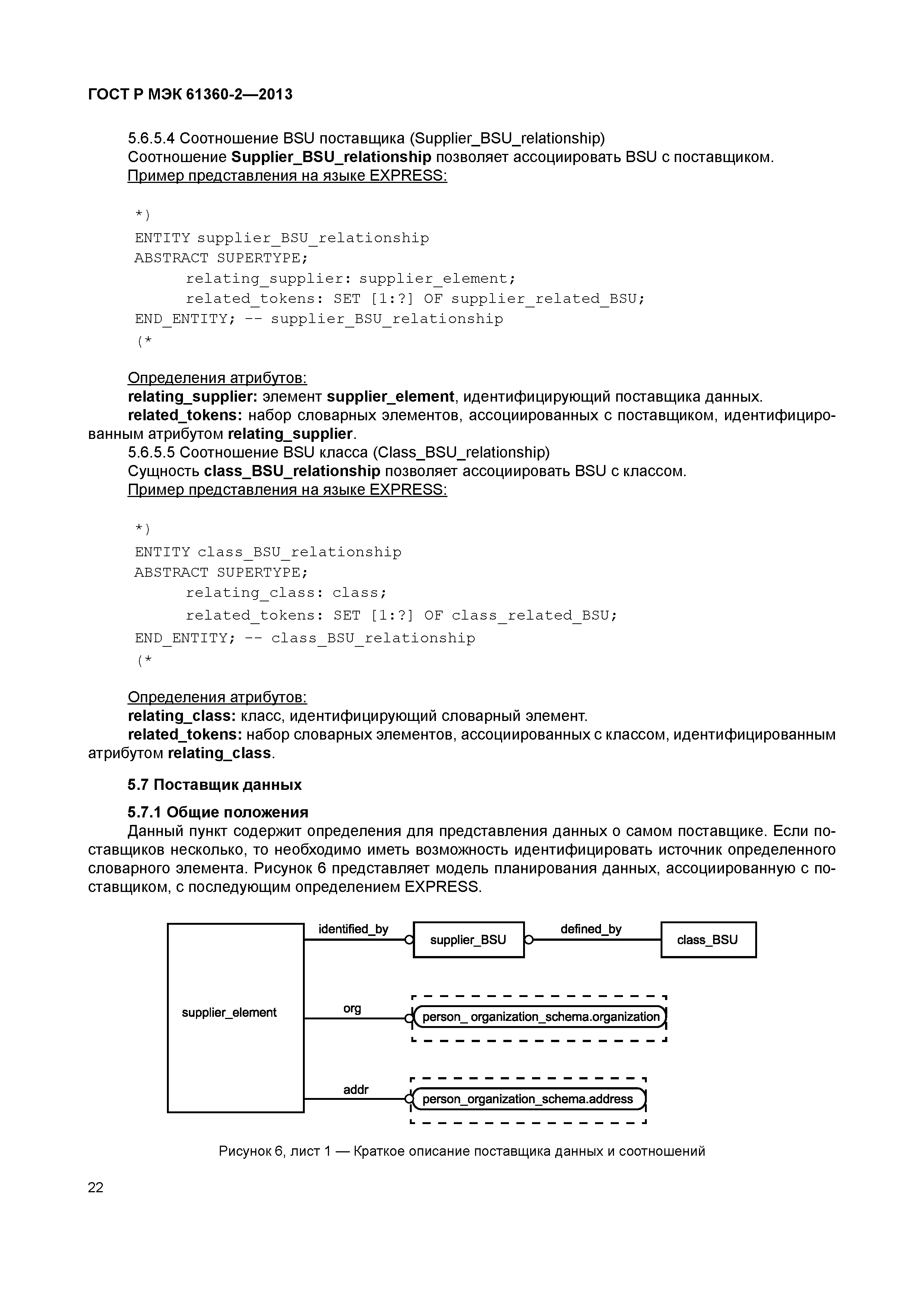
   5.7 Поставщик данных
   5.8 Данные класса
   5.9 Тип элемента данных/данные о свойствах
   5.10 Область данных: система типов
   5.11 Определения базового типа и сущности
   5.12 Определения функций
6 Стандартная схема языкового ресурса (ISO13584_IEC61360_language_resource_schema)
   6.1 Краткое описание
   6.2 Определения типов и сущностей стандартной схемы языкового ресурса ISO13584_IEC61360_language_resource_schema
   6.3 Определения функций стандартной схемы языкового ресурса ISO13584_IEC61360_language_resource_schema
   6.4 Определение правила стандартной схемы языкового ресурса ISO13584_IEC61360_language_resource_schema
7 Стандартная схема ограничений класса IS013584JEC61360_class_constraint_schema
   7.1 Общие положения
   7.2 Введение в стандартную схему ограничений класса IS013584JEC61360_class_constraint_schema
   7.3 Определения сущностей стандартной схемы ограничений класса IS013584JEC61360_class_constraint_schema
   7.4 Определения типа стандартной схемы ограничений класса IS013584JEC61360_class_constraint_schema
   7.5 Определения функций стандартной схемы ограничений класса IS013584JEC61360_class_constraint_schema
   7.6 Определение правил стандартной схемы ограничений класса IS013584 IEC61360 class constraint schema
8 Стандартная условная схема класса элементов ISO13584_IEC61360_item_class_case_of_schema
   8.1 Краткое описание
   8.2 Введение в стандартную условную схему класса элементов ISO13584_IEC61360_item_class_case_of_schema
   8.3 Определения сущностей стандартной условной схемы класса элементов ISO13584_IEC61360_item_class_case_of_schema
   8.4 Определения функций стандартной схемы условного класса элементов ISO13584_IEC61360_item_class_case_of_schema
   8.5 Определения правил стандартной схемы условного класса элементов ISO13584_IEC61360_item_class_case_of_schema
Приложение А (справочное) Пример физического файла
Приложение В (справочное) Диаграмма EXPRESS-G
Приложение С (справочное) Частные словари
Приложение D (справочное) Спецификация формата значения
Приложение ДА (справочное) Сведения о соответствии ссылочных международных стандартов ссылочным национальным стандартам Российской Федерации
Разработан: АНО Международная академия менеджмента и качества бизнеса
Утверждён:17.12.2013 Федеральное агентство по техническому регулированию и метрологии (2271-ст)
Издан: Стандартинформ (2016 г. )
Расположен в:Техническая документация Электроэнергия ЭЛЕКТРОНИКА Электронные компоненты в целом Экология ЭЛЕКТРОНИКА Электронные компоненты в целом
Нормативные ссылки:
ГОСТ Р МЭК 61360-2-2013ГОСТ Р МЭК 61360-2-2013ГОСТ Р МЭК 61360-2-2013ГОСТ Р МЭК 61360-2-2013ГОСТ Р МЭК 61360-2-2013ГОСТ Р МЭК 61360-2-2013ГОСТ Р МЭК 61360-2-2013ГОСТ Р МЭК 61360-2-2013ГОСТ Р МЭК 61360-2-2013ГОСТ Р МЭК 61360-2-2013ГОСТ Р МЭК 61360-2-2013ГОСТ Р МЭК 61360-2-2013ГОСТ Р МЭК 61360-2-2013ГОСТ Р МЭК 61360-2-2013ГОСТ Р МЭК 61360-2-2013ГОСТ Р МЭК 61360-2-2013ГОСТ Р МЭК 61360-2-2013ГОСТ Р МЭК 61360-2-2013ГОСТ Р МЭК 61360-2-2013ГОСТ Р МЭК 61360-2-2013ГОСТ Р МЭК 61360-2-2013ГОСТ Р МЭК 61360-2-2013ГОСТ Р МЭК 61360-2-2013ГОСТ Р МЭК 61360-2-2013ГОСТ Р МЭК 61360-2-2013ГОСТ Р МЭК 61360-2-2013ГОСТ Р МЭК 61360-2-2013ГОСТ Р МЭК 61360-2-2013ГОСТ Р МЭК 61360-2-2013ГОСТ Р МЭК 61360-2-2013ГОСТ Р МЭК 61360-2-2013ГОСТ Р МЭК 61360-2-2013ГОСТ Р МЭК 61360-2-2013ГОСТ Р МЭК 61360-2-2013ГОСТ Р МЭК 61360-2-2013ГОСТ Р МЭК 61360-2-2013ГОСТ Р МЭК 61360-2-2013ГОСТ Р МЭК 61360-2-2013ГОСТ Р МЭК 61360-2-2013ГОСТ Р МЭК 61360-2-2013ГОСТ Р МЭК 61360-2-2013ГОСТ Р МЭК 61360-2-2013ГОСТ Р МЭК 61360-2-2013ГОСТ Р МЭК 61360-2-2013ГОСТ Р МЭК 61360-2-2013ГОСТ Р МЭК 61360-2-2013ГОСТ Р МЭК 61360-2-2013ГОСТ Р МЭК 61360-2-2013ГОСТ Р МЭК 61360-2-2013ГОСТ Р МЭК 61360-2-2013ГОСТ Р МЭК 61360-2-2013ГОСТ Р МЭК 61360-2-2013ГОСТ Р МЭК 61360-2-2013ГОСТ Р МЭК 61360-2-2013ГОСТ Р МЭК 61360-2-2013ГОСТ Р МЭК 61360-2-2013ГОСТ Р МЭК 61360-2-2013ГОСТ Р МЭК 61360-2-2013ГОСТ Р МЭК 61360-2-2013ГОСТ Р МЭК 61360-2-2013ГОСТ Р МЭК 61360-2-2013ГОСТ Р МЭК 61360-2-2013ГОСТ Р МЭК 61360-2-2013ГОСТ Р МЭК 61360-2-2013ГОСТ Р МЭК 61360-2-2013ГОСТ Р МЭК 61360-2-2013ГОСТ Р МЭК 61360-2-2013ГОСТ Р МЭК 61360-2-2013ГОСТ Р МЭК 61360-2-2013ГОСТ Р МЭК 61360-2-2013ГОСТ Р МЭК 61360-2-2013ГОСТ Р МЭК 61360-2-2013ГОСТ Р МЭК 61360-2-2013ГОСТ Р МЭК 61360-2-2013ГОСТ Р МЭК 61360-2-2013ГОСТ Р МЭК 61360-2-2013ГОСТ Р МЭК 61360-2-2013ГОСТ Р МЭК 61360-2-2013ГОСТ Р МЭК 61360-2-2013ГОСТ Р МЭК 61360-2-2013ГОСТ Р МЭК 61360-2-2013ГОСТ Р МЭК 61360-2-2013ГОСТ Р МЭК 61360-2-2013ГОСТ Р МЭК 61360-2-2013ГОСТ Р МЭК 61360-2-2013ГОСТ Р МЭК 61360-2-2013ГОСТ Р МЭК 61360-2-2013ГОСТ Р МЭК 61360-2-2013ГОСТ Р МЭК 61360-2-2013ГОСТ Р МЭК 61360-2-2013ГОСТ Р МЭК 61360-2-2013ГОСТ Р МЭК 61360-2-2013ГОСТ Р МЭК 61360-2-2013ГОСТ Р МЭК 61360-2-2013ГОСТ Р МЭК 61360-2-2013ГОСТ Р МЭК 61360-2-2013ГОСТ Р МЭК 61360-2-2013ГОСТ Р МЭК 61360-2-2013ГОСТ Р МЭК 61360-2-2013ГОСТ Р МЭК 61360-2-2013ГОСТ Р МЭК 61360-2-2013ГОСТ Р МЭК 61360-2-2013ГОСТ Р МЭК 61360-2-2013ГОСТ Р МЭК 61360-2-2013ГОСТ Р МЭК 61360-2-2013ГОСТ Р МЭК 61360-2-2013ГОСТ Р МЭК 61360-2-2013ГОСТ Р МЭК 61360-2-2013ГОСТ Р МЭК 61360-2-2013ГОСТ Р МЭК 61360-2-2013ГОСТ Р МЭК 61360-2-2013ГОСТ Р МЭК 61360-2-2013ГОСТ Р МЭК 61360-2-2013ГОСТ Р МЭК 61360-2-2013ГОСТ Р МЭК 61360-2-2013ГОСТ Р МЭК 61360-2-2013ГОСТ Р МЭК 61360-2-2013ГОСТ Р МЭК 61360-2-2013ГОСТ Р МЭК 61360-2-2013ГОСТ Р МЭК 61360-2-2013ГОСТ Р МЭК 61360-2-2013ГОСТ Р МЭК 61360-2-2013ГОСТ Р МЭК 61360-2-2013ГОСТ Р МЭК 61360-2-2013ГОСТ Р МЭК 61360-2-2013ГОСТ Р МЭК 61360-2-2013ГОСТ Р МЭК 61360-2-2013ГОСТ Р МЭК 61360-2-2013ГОСТ Р МЭК 61360-2-2013ГОСТ Р МЭК 61360-2-2013ГОСТ Р МЭК 61360-2-2013ГОСТ Р МЭК 61360-2-2013ГОСТ Р МЭК 61360-2-2013ГОСТ Р МЭК 61360-2-2013ГОСТ Р МЭК 61360-2-2013ГОСТ Р МЭК 61360-2-2013ГОСТ Р МЭК 61360-2-2013ГОСТ Р МЭК 61360-2-2013ГОСТ Р МЭК 61360-2-2013ГОСТ Р МЭК 61360-2-2013ГОСТ Р МЭК 61360-2-2013ГОСТ Р МЭК 61360-2-2013ГОСТ Р МЭК 61360-2-2013ГОСТ Р МЭК 61360-2-2013ГОСТ Р МЭК 61360-2-2013ГОСТ Р МЭК 61360-2-2013ГОСТ Р МЭК 61360-2-2013ГОСТ Р МЭК 61360-2-2013ГОСТ Р МЭК 61360-2-2013ГОСТ Р МЭК 61360-2-2013ГОСТ Р МЭК 61360-2-2013ГОСТ Р МЭК 61360-2-2013ГОСТ Р МЭК 61360-2-2013ГОСТ Р МЭК 61360-2-2013ГОСТ Р МЭК 61360-2-2013ГОСТ Р МЭК 61360-2-2013ГОСТ Р МЭК 61360-2-2013

© 2013 Ёшкин Кот :-) Карта сайта