Информационная система
«Ёшкин Кот»

Скачать базу одним архивом
Скачать обновления
История создания базы
Карта сайта

Скачать НД 2-020101-076-R-E Приложение к правилам Российского морского регистра судоходства. Унифицированные интерпретации Международной ассоциации классификационных обществ (редакция 2013 года)

Дата актуализации: 10.08.2017

НД 2-020101-076-R-E

Приложение к правилам Российского морского регистра судоходства. Унифицированные интерпретации Международной ассоциации классификационных обществ (редакция 2013 года)

Обозначение: НД 2-020101-076-R-E
Обозначение англ: ND 2-020101-076-R-E
Статус:не действует
Название рус.:Приложение к правилам Российского морского регистра судоходства. Унифицированные интерпретации Международной ассоциации классификационных обществ (редакция 2013 года)
Название англ.:Supplement to rules of Russian maritime register of shipping. Iacs unified interpretations
Дата добавления в базу:21.05.2015
Дата актуализации:05.05.2017
Область применения:Приложение к правилам Российского морского регистра судоходства содержит обязательные для применения унифицированные интерпретации Международной ассоциации классификационных обществ (МАКО), ссылки на которые имеются в правилах и других нормативных документах Регистра. Все материалы публикуются на русском и английском языках. В случае расхождения в текстах основным следует считать английский текст. Данный документ публикуется в электронном виде отдельным изданием и является обязательным Приложением к правилам Регистра.
Оглавление:1. Документ SC 191
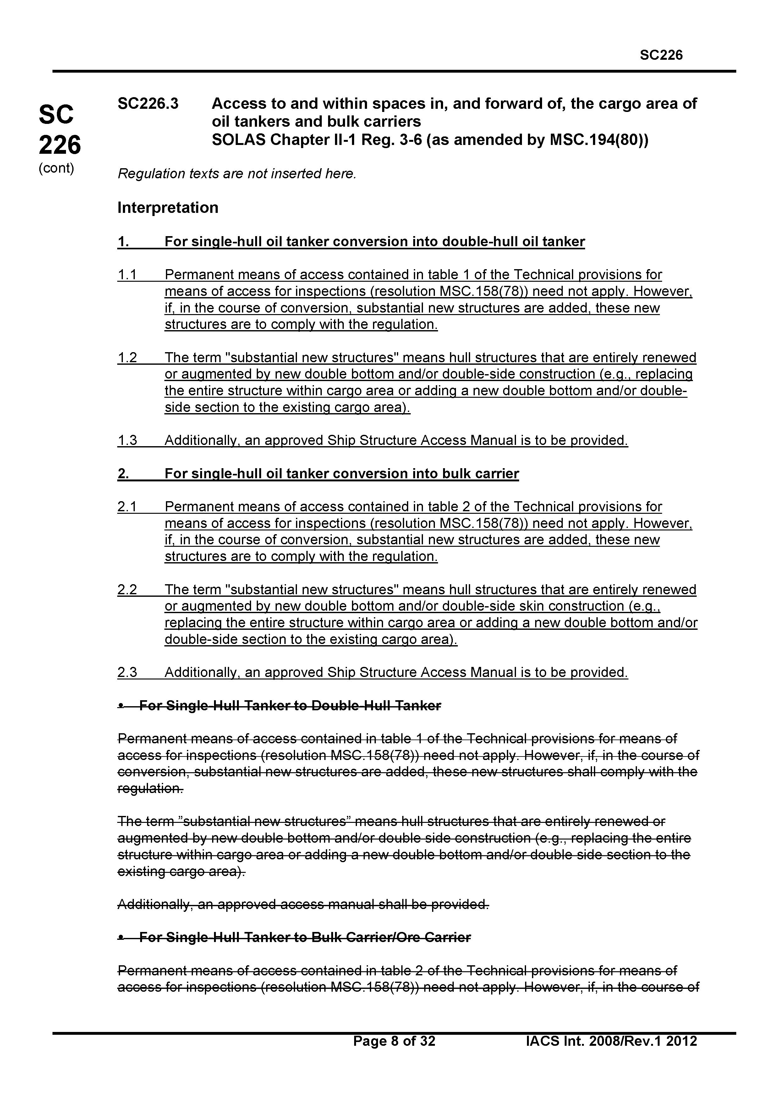
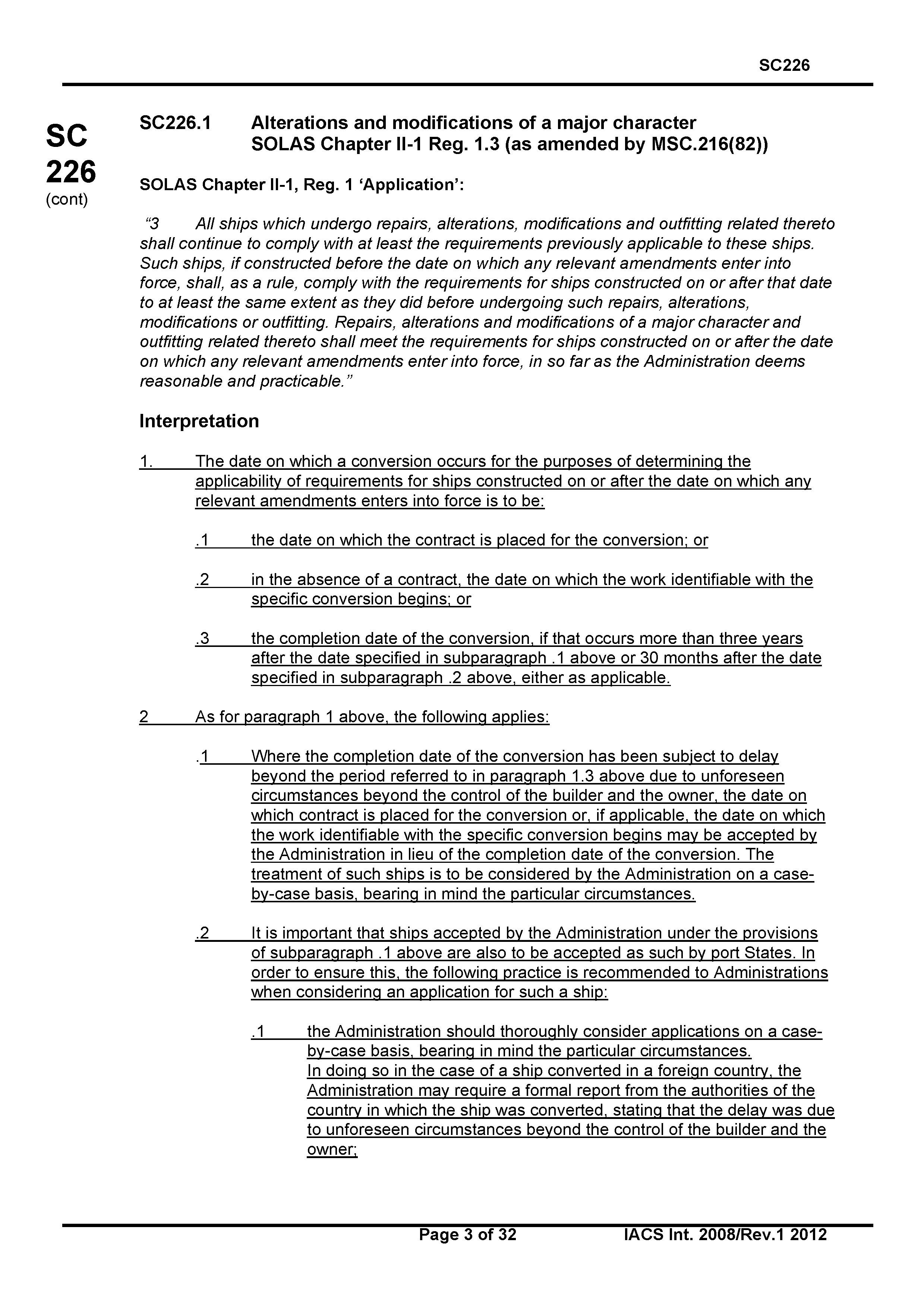
2. Документ SC 226
3. Документ SC 234
4. Документ SC 249
Разработан: Российский морской регистр судоходства
Утверждён: Российский морской регистр судоходства
Издан: Российский морской регистр судоходства (2013 г. )
Расположен в:Техническая документация Экология СУДОСТРОЕНИЕ И МОРСКИЕ СООРУЖЕНИЯ Морские суда
Чем заменён:
Нормативные ссылки:
НД 2-020101-076-R-EНД 2-020101-076-R-EНД 2-020101-076-R-EНД 2-020101-076-R-EНД 2-020101-076-R-EНД 2-020101-076-R-EНД 2-020101-076-R-EНД 2-020101-076-R-EНД 2-020101-076-R-EНД 2-020101-076-R-EНД 2-020101-076-R-EНД 2-020101-076-R-EНД 2-020101-076-R-EНД 2-020101-076-R-EНД 2-020101-076-R-EНД 2-020101-076-R-EНД 2-020101-076-R-EНД 2-020101-076-R-EНД 2-020101-076-R-EНД 2-020101-076-R-EНД 2-020101-076-R-EНД 2-020101-076-R-EНД 2-020101-076-R-EНД 2-020101-076-R-EНД 2-020101-076-R-EНД 2-020101-076-R-EНД 2-020101-076-R-EНД 2-020101-076-R-EНД 2-020101-076-R-EНД 2-020101-076-R-EНД 2-020101-076-R-EНД 2-020101-076-R-EНД 2-020101-076-R-EНД 2-020101-076-R-EНД 2-020101-076-R-EНД 2-020101-076-R-EНД 2-020101-076-R-EНД 2-020101-076-R-EНД 2-020101-076-R-EНД 2-020101-076-R-EНД 2-020101-076-R-EНД 2-020101-076-R-EНД 2-020101-076-R-EНД 2-020101-076-R-EНД 2-020101-076-R-EНД 2-020101-076-R-EНД 2-020101-076-R-EНД 2-020101-076-R-EНД 2-020101-076-R-EНД 2-020101-076-R-EНД 2-020101-076-R-EНД 2-020101-076-R-EНД 2-020101-076-R-EНД 2-020101-076-R-EНД 2-020101-076-R-EНД 2-020101-076-R-EНД 2-020101-076-R-EНД 2-020101-076-R-EНД 2-020101-076-R-EНД 2-020101-076-R-EНД 2-020101-076-R-EНД 2-020101-076-R-EНД 2-020101-076-R-EНД 2-020101-076-R-EНД 2-020101-076-R-EНД 2-020101-076-R-EНД 2-020101-076-R-EНД 2-020101-076-R-EНД 2-020101-076-R-EНД 2-020101-076-R-EНД 2-020101-076-R-EНД 2-020101-076-R-EНД 2-020101-076-R-EНД 2-020101-076-R-EНД 2-020101-076-R-EНД 2-020101-076-R-EНД 2-020101-076-R-EНД 2-020101-076-R-EНД 2-020101-076-R-EНД 2-020101-076-R-EНД 2-020101-076-R-EНД 2-020101-076-R-EНД 2-020101-076-R-EНД 2-020101-076-R-EНД 2-020101-076-R-EНД 2-020101-076-R-EНД 2-020101-076-R-EНД 2-020101-076-R-EНД 2-020101-076-R-EНД 2-020101-076-R-EНД 2-020101-076-R-EНД 2-020101-076-R-EНД 2-020101-076-R-EНД 2-020101-076-R-EНД 2-020101-076-R-EНД 2-020101-076-R-EНД 2-020101-076-R-EНД 2-020101-076-R-EНД 2-020101-076-R-EНД 2-020101-076-R-EНД 2-020101-076-R-EНД 2-020101-076-R-EНД 2-020101-076-R-EНД 2-020101-076-R-EНД 2-020101-076-R-EНД 2-020101-076-R-EНД 2-020101-076-R-EНД 2-020101-076-R-EНД 2-020101-076-R-EНД 2-020101-076-R-EНД 2-020101-076-R-EНД 2-020101-076-R-EНД 2-020101-076-R-EНД 2-020101-076-R-EНД 2-020101-076-R-EНД 2-020101-076-R-EНД 2-020101-076-R-EНД 2-020101-076-R-EНД 2-020101-076-R-EНД 2-020101-076-R-EНД 2-020101-076-R-EНД 2-020101-076-R-EНД 2-020101-076-R-EНД 2-020101-076-R-EНД 2-020101-076-R-EНД 2-020101-076-R-EНД 2-020101-076-R-EНД 2-020101-076-R-EНД 2-020101-076-R-EНД 2-020101-076-R-EНД 2-020101-076-R-EНД 2-020101-076-R-EНД 2-020101-076-R-EНД 2-020101-076-R-EНД 2-020101-076-R-EНД 2-020101-076-R-EНД 2-020101-076-R-EНД 2-020101-076-R-EНД 2-020101-076-R-EНД 2-020101-076-R-EНД 2-020101-076-R-EНД 2-020101-076-R-EНД 2-020101-076-R-EНД 2-020101-076-R-EНД 2-020101-076-R-EНД 2-020101-076-R-EНД 2-020101-076-R-EНД 2-020101-076-R-EНД 2-020101-076-R-EНД 2-020101-076-R-EНД 2-020101-076-R-EНД 2-020101-076-R-EНД 2-020101-076-R-EНД 2-020101-076-R-EНД 2-020101-076-R-EНД 2-020101-076-R-EНД 2-020101-076-R-EНД 2-020101-076-R-EНД 2-020101-076-R-EНД 2-020101-076-R-EНД 2-020101-076-R-EНД 2-020101-076-R-EНД 2-020101-076-R-EНД 2-020101-076-R-EНД 2-020101-076-R-EНД 2-020101-076-R-EНД 2-020101-076-R-EНД 2-020101-076-R-EНД 2-020101-076-R-EНД 2-020101-076-R-EНД 2-020101-076-R-EНД 2-020101-076-R-EНД 2-020101-076-R-EНД 2-020101-076-R-EНД 2-020101-076-R-EНД 2-020101-076-R-EНД 2-020101-076-R-EНД 2-020101-076-R-EНД 2-020101-076-R-EНД 2-020101-076-R-EНД 2-020101-076-R-EНД 2-020101-076-R-EНД 2-020101-076-R-EНД 2-020101-076-R-EНД 2-020101-076-R-EНД 2-020101-076-R-EНД 2-020101-076-R-EНД 2-020101-076-R-EНД 2-020101-076-R-EНД 2-020101-076-R-EНД 2-020101-076-R-EНД 2-020101-076-R-EНД 2-020101-076-R-EНД 2-020101-076-R-EНД 2-020101-076-R-EНД 2-020101-076-R-EНД 2-020101-076-R-EНД 2-020101-076-R-EНД 2-020101-076-R-EНД 2-020101-076-R-EНД 2-020101-076-R-EНД 2-020101-076-R-EНД 2-020101-076-R-E

© 2013 Ёшкин Кот :-) Карта сайта