Скачать ГОСТ Р 56170-2014 Телевидение вещательное цифровое. Домашняя мультимедийная платформа. Класс 1.2. Основные параметрыДата актуализации: 10.08.2017 ГОСТ Р 56170-2014
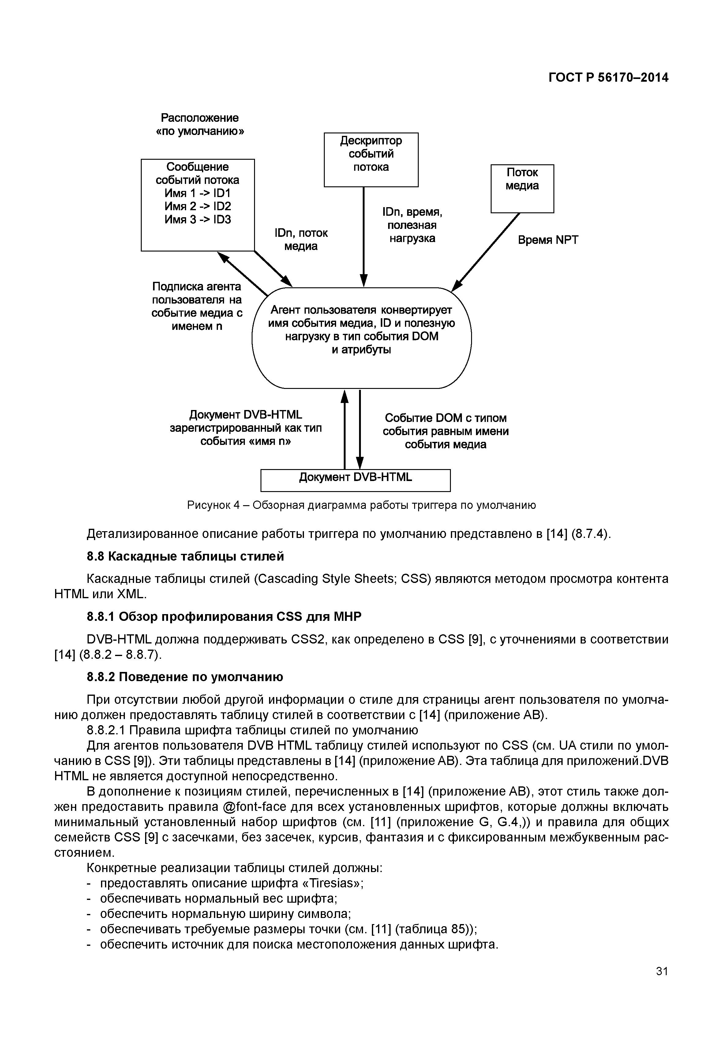
Телевидение вещательное цифровое. Домашняя мультимедийная платформа. Класс 1.2. Основные параметрыОбозначение: | ГОСТ Р 56170-2014 | Обозначение англ: | GOST R 56170-2014 | Статус: | введен впервые | Название рус.: | Телевидение вещательное цифровое. Домашняя мультимедийная платформа. Класс 1.2. Основные параметры | Название англ.: | Digital video broadcasting. Multimedia Home Platform. Classes 1.2. Basic parameters | Дата добавления в базу: | 12.02.2016 | Дата актуализации: | 05.05.2017 | Дата введения: | 01.09.2015 | Область применения: | Стандарт распространяется на аппаратно-программный комплекс - домашнюю мультимедийную платформу (Multimedia Home Platform; MHP), позволяющую поддерживать предоставление интерактивных цифровых телевизионных служб, поставляемых на терминалы любых производителей, поддерживающих настоящий стандарт. Терминалы MHP принимают цифровые службы DVB при работе в каналах передачи различных стандартов, включая спутниковые, кабельные, эфирные и TCP/IP. Транспортный уровень терминалов MHP базируется на технологиях вещания в соответствии со стандартами DVB-T/T2, DVB-C/C2, DVB-S/S2 или IP-транспорта. | Оглавление: | 1 Область применения 2 Нормативные ссылки 3 Термины, определения и сокращения 4 Классы домашней мультимедийной платформы 5 Базовая архитектура домашней мультимедийной платформы 5.1 Контекст применения MHP 5.2 Архитектура MHP 5.3 Интерфейсы между приложениями MHP и системой MHP 5.4 Плагины 5.5 Место профиля IPTV в предыдущих версиях MHP 6 Параметры транспортных протоколов 6.1 Параметры транспортных протоколов каналов вещания и интерактивных каналов 6.2 Транспортные протоколы загрузки приложений через интерактивный канал 6.3 Транспортные протоколы для загрузки приложений из интерактивного канала 6.4 Протоколы IPTV 7 Параметры форматов контента, поддерживаемых платформой MHP 7.1 Статические форматы контента 7.2 Форматы потокового вещания 7.3 Форматы резидентных шрифтов 7.4 Форматы загружаемых шрифтов 7.5 Форматы представления цвета 7.6 Форматы многоцелевых расширений почты Интернета 8 Параметры приложений DVB-HTML 8.1 Введение 8.2 Архитектура 8.3 Формат приложений 8.4 Расширяемый язык разметки XML 8.5 Язык разметки DVB (DVB-HTML) 8.6 Типы медиа 8.7 Синхронизация 8.8 Каскадные таблицы стилей 8.9 Интеграция Xlet 8.10 Создание (планирование) сценариев 8.11 Объектная модель документа (DOM) 8.12 Поддержка Cookie 8.13 Поддержка строки агента пользователя HTTP 8.14 Безопасность приложений DVB-HTML 8.15 Разрешения DVB-HTML 8.16 Нормирование параметров данных различного характера 9 Модель приложений МНР 9.1 Приложения МНР, связанные службой 9.2 Параметры модели приложений DVB-J 9.2.2 Поддержка остановки приложений 9.3 Модель DVB-HTML 9.4 Управление ресурсами, которые используются разными приложениями 9.5 Жизненный цикл интерфейсов Xlet, встроенных в приложения DVB-HTML 9.6 Службы и приложения, не связанные с традиционными службами DVB 9.7 Жизненный цикл приложений доступа в Интернет 9.8 Плагины 9.9 Хранение и кэширование приложений 9.10 Условия взаимодействия между приложениями MHP и резидентными приложениями 9.11 Провайдеры 9.12 Воздействие ограничений графики на модель приложения 9.13 Несвязанные приложения 10 Параметры сигнализации приложения MHP 10.1 Введение 10.2 Параметры сигнализации программно-зависимой информации 10.3 Система обозначений 10.4 Таблица AIT 10.5 Параметры идентификации приложений 10.6 Управление жизненным циклом приложения 10.7 Универсальные дескрипторы 10.8 Дескрипторы транспортного протокола 10.9 Дескрипторы DVB-J 10.10 Дескрипторы приложения DVB-HTML 10.11 Константы дескрипторов 10.12 Информация о службе 10.13 Сигнализация плагина 10.14 Сохраненные приложения 10.15 Сигнализация для провайдеров 10.16 Сигнализация для IPTV 10.17 XAIT для классических сетей DVB 10.18 Приложения, не связанные с резидентными устройствами 11 Платформа DVB-J 11.1 Виртуальная машина DVB-J 11.2 Общие вопросы 11.3 Основные программные интерфейсы DVB-J 11.4 Параметры программных интерфейсов приложений представления (воспроизведения) 11.5 API доступа к данным 11.6 Программные интерфейсы приложений информации о службе и выбора службы 11.7 Общая инфраструктура интерфейсов API 11.8 Безопасность 11.9 Другие программные интерфейсы приложений 11.10 Полномочия Java 11.11 Соответствие между объектами, локаторами контента и их текстовыми представлениями 11.12 Автономные приложения 11.13 Поддержка DVB-HTML 11.14 Доступ в Интернет 11.15 Интерфейсы API, определенные в OCAP 12 Безопасность 12.1 Введение 12.2 Аутентификация приложений 12.3 Параметры передачи сообщений безопасности 12.4 Детализация сообщений аутентификации приложения 12.5 Параметры профилирования приложений 12.6 Политика безопасности для приложений 12.7 Пример создания приложения, которое может быть аутентифицировано 12.8 Процесс управления сертификатом 12.9 Параметры безопасности обратного канала 12.10 Параметры профиля Интернет 12.11 Аппаратная реализация платформы MHP 12.12 Безопасность применения плагинов 12.13 Безопасность загрузки приложений из интерактивного канала 12.14 Хранение приложений 12.15 Безопасность внутренних приложений и контента, встроенного в другие приложения 12.16 Аутентификации несвязанных приложений 12.17 Аутентификация привилегированных приложений 13 Параметры эталонной модели графики платформы MHP 14 Системная интеграция платформы MHP 15 Детализированные определения профилей платформы MHP 15.1 Требования к формату PNG 15.2 Требования к составу форматов медиа, поддерживаемых API DVB-J 15.3 Требования к формату JPEG 15.4 Требования к поддержке локалей 15.5 Требования к растру видеоизображения 15.6 Отображение платформой МНР функциональных эквивалентов GEM 16 Требования к константам MHP 16.1 Требования к системным константам 16.2 Требования к константам DVB-J 16.2.1 Общедоступные и защищенные заключительные статические примитивные поля от пакетов DVB 17 доступ Интернет-клиентов в сеть Интернет 17.1 Ссылки служб DVB и контента на контент WWW 17.2 Требования к Интернет-клиентам 17.3 Обработка потокового медиа из сети Интернет 17.4 Управление соединением Интернет Библиография | Разработан: | АНО НТЦИ
| Утверждён: | 16.10.2014 Федеральное агентство по техническому регулированию и метрологии (1338-ст)
| Издан: | Стандартинформ (2015 г. )
| Расположен в: |
| Нормативные ссылки: | |
                                                                                                       
|