Информационная система
«Ёшкин Кот»

Скачать базу одним архивом
Скачать обновления
История создания базы
Карта сайта

Скачать МУ 5810-91 Методические указания по измерению концентраций алипура методом хроматографии в тонком слое

Дата актуализации: 10.08.2017

МУ 5810-91

Методические указания по измерению концентраций алипура методом хроматографии в тонком слое

Обозначение: МУ 5810-91
Обозначение англ: MU 5810-91
Статус:cправочные материалы, мп, тпр
Название рус.:Методические указания по измерению концентраций алипура методом хроматографии в тонком слое
Дата добавления в базу:01.10.2014
Дата актуализации:05.05.2017
Область применения:Методические указания по измерению концентраций вредных веществ в воздухе рабочей зоны предназначены для санитарно-эпидемиологических станций и санитарных лабораторий промышленных предприятий при осуществлении контроля за содержанием вредных веществ в воздухе рабочей зоны, а так же научно-исследовательских институтов и других заинтересованных министерств и ведомств.
Оглавление:Характеристика метода
Приборы, аппаратура, посуда
Реактивы, растворы, материалы
Отбор проб воздуха
Проведение измерения
Расчет концентрации
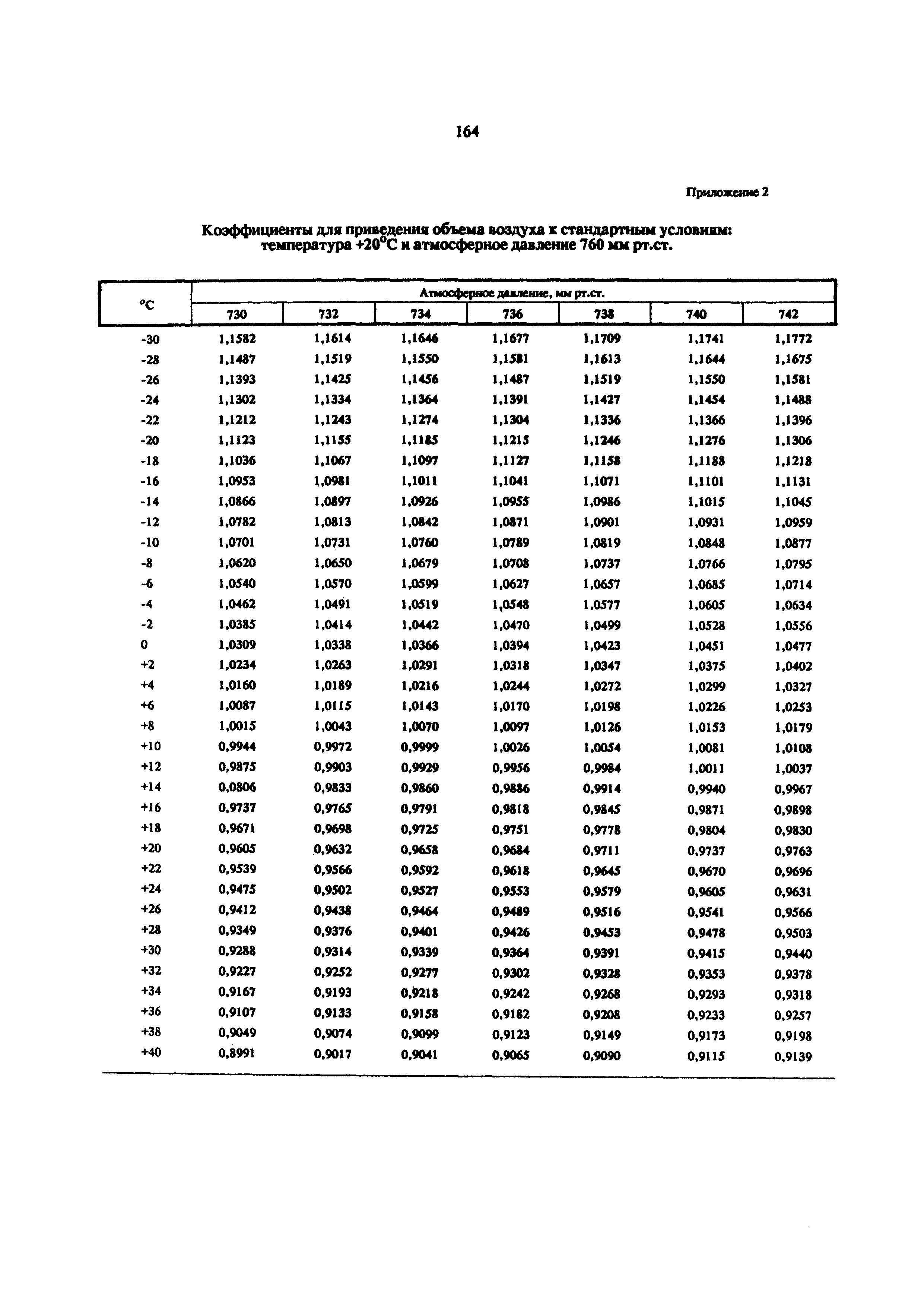
Приложение 1. Приведение объема воздуха к стандартным условиям
Приложение 2. Коэффициенты для приведения объема воздуха к стандартным условиям
Приложение 3. Список учреждений, представивших методики в данный сборник
Утверждён:10.09.1991 Заместитель Главного государственного санитарного врача СССР
Расположен в:Техническая документация Экология ОХРАНА ОКРУЖАЮЩЕЙ СРЕДЫ, ЗАЩИТА ЧЕЛОВЕКА ОТ ВОЗДЕЙСТВИЯ ОКРУЖАЮЩЕЙ СРЕДЫ. БЕЗОПАСНОСТЬ Качество воздуха Атмосфера рабочей зоны
Нормативные ссылки:
МУ 5810-91МУ 5810-91МУ 5810-91МУ 5810-91МУ 5810-91МУ 5810-91МУ 5810-91МУ 5810-91МУ 5810-91МУ 5810-91МУ 5810-91МУ 5810-91МУ 5810-91МУ 5810-91МУ 5810-91

© 2013 Ёшкин Кот :-) Карта сайта