Информационная система
«Ёшкин Кот»

Скачать базу одним архивом
Скачать обновления
История создания базы
Карта сайта

Скачать ГОСТ 11024-2012 Панели стеновые наружные бетонные и железобетонные для жилых и общественных зданий. Общие технические условия

Дата актуализации: 10.08.2017

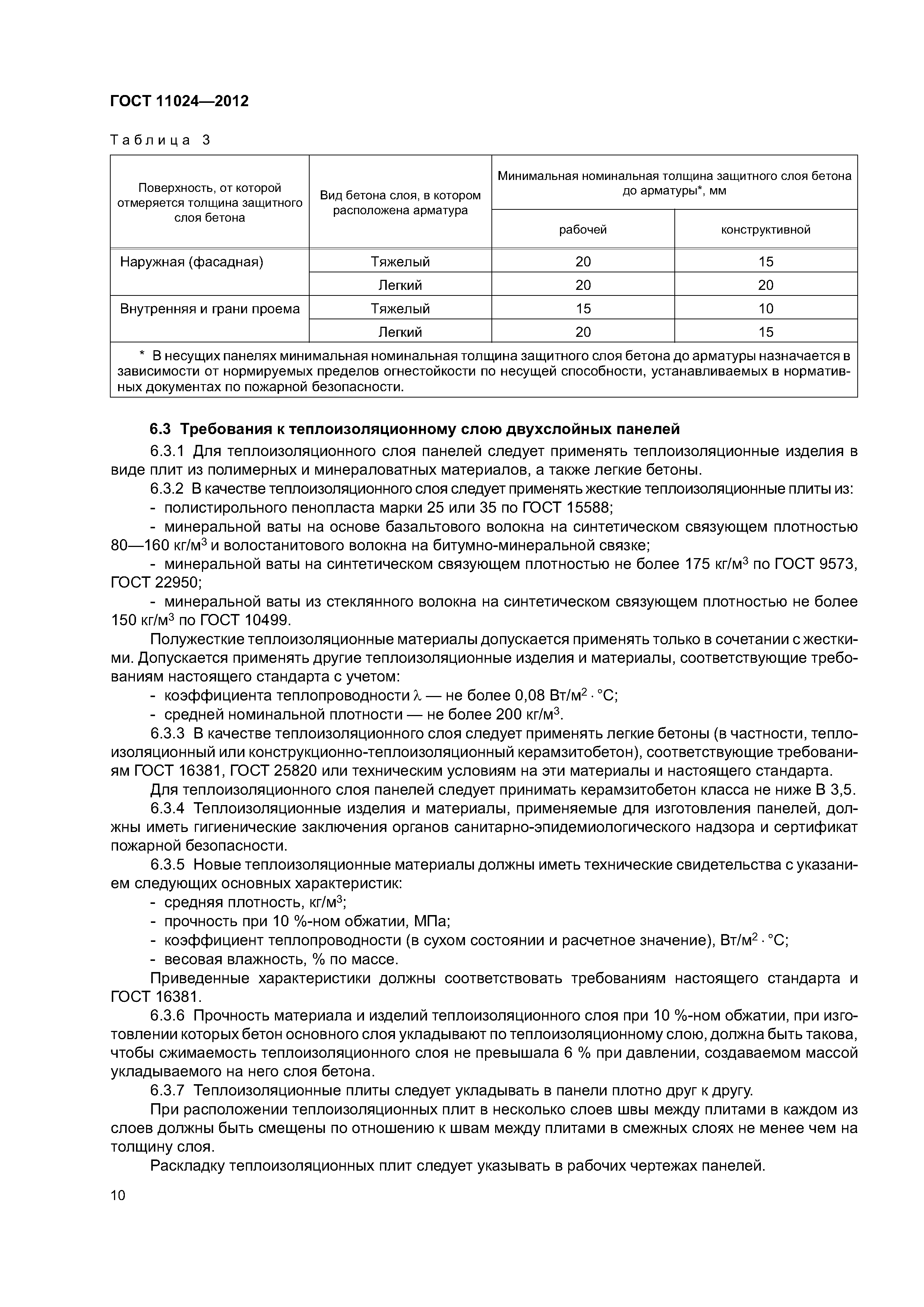
ГОСТ 11024-2012

Панели стеновые наружные бетонные и железобетонные для жилых и общественных зданий. Общие технические условия

Обозначение: ГОСТ 11024-2012
Обозначение англ: GOST 11024-2012
Статус:действует
Название рус.:Панели стеновые наружные бетонные и железобетонные для жилых и общественных зданий. Общие технические условия
Название англ.:Concrete and reinforced concrete panels for external walls of residential and civil buildings. General specifications
Дата добавления в базу:01.10.2014
Дата актуализации:05.05.2017
Дата введения:01.01.2014
Область применения:Стандарт устанавливает классификацию, типы, основные параметры панелей, общие технические требования к ним, общие правила их приемки, методы контроля, правила транспортирования и хранения. Стандарт распространяется на однослойные и двухслойные бетонные и железобетонные панели, изготовляемые из легкого бетона на пористых заполнителях и тяжелого бетона (далее - панели) и предназначенные для наружных стен жилых и общественных зданий. Требования настоящего стандарта не распространяются на: - составные панели; - панели стен помещений с мокрым режимом; - заполнения оконных и дверных проемов в панелях. Панели, предназначенные для эксплуатации в помещениях с мокрым режимом, должны удовлетворять требованиям настоящего стандарта и дополнительным указаниям проектной документации, установленным с учетом [1]. Требования настоящего стандарта являются основополагающими при разработке нормативных документов на панели конкретных типов.
Оглавление:1 Область применения
2 Нормативные ссылки
3 Термины и определения
4 Классификация
5 Типы панелей, основные параметры
6 Общие технические требования
7 Правила приемки панелей
8 Методы контроля испытаний
9 Транспортирование и хранение
Библиография
Разработан: ЦНИИЭП жилища
Утверждён:18.12.2012 МНТКС (MNTKS 41)
27.12.2012 Федеральное агентство по техническому регулированию и метрологии (1977-ст)
Издан: Стандартинформ (2014 г. )
Расположен в:Техническая документация Электроэнергия СТРОИТЕЛЬНЫЕ МАТЕРИАЛЫ И СТРОИТЕЛЬСТВО Конструкции зданий Бетонные конструкции Экология СТРОИТЕЛЬНЫЕ МАТЕРИАЛЫ И СТРОИТЕЛЬСТВО Конструкции зданий Бетонные конструкции Строительство Нормативные документы Документы Системы нормативных документов в строительстве Нормативные документы на строительные конструкции и изделия к.52 Железобетонные и бетонные конструкции
Заменяет собой:
Нормативные ссылки:
ГОСТ 11024-2012ГОСТ 11024-2012ГОСТ 11024-2012ГОСТ 11024-2012ГОСТ 11024-2012ГОСТ 11024-2012ГОСТ 11024-2012ГОСТ 11024-2012ГОСТ 11024-2012ГОСТ 11024-2012ГОСТ 11024-2012ГОСТ 11024-2012ГОСТ 11024-2012ГОСТ 11024-2012ГОСТ 11024-2012ГОСТ 11024-2012ГОСТ 11024-2012ГОСТ 11024-2012ГОСТ 11024-2012ГОСТ 11024-2012ГОСТ 11024-2012ГОСТ 11024-2012ГОСТ 11024-2012

© 2013 Ёшкин Кот :-) Карта сайта