Информационная система
«Ёшкин Кот»

Скачать базу одним архивом
Скачать обновления
История создания базы
Карта сайта

Скачать ГОСТ Р ЕН 12354-5-2012 Акустика зданий. Методы расчета акустических характеристик зданий по характеристикам их элементов. Часть 5. Шум инженерного оборудования

Дата актуализации: 10.08.2017

ГОСТ Р ЕН 12354-5-2012

Акустика зданий. Методы расчета акустических характеристик зданий по характеристикам их элементов. Часть 5. Шум инженерного оборудования

Обозначение: ГОСТ Р ЕН 12354-5-2012
Обозначение англ: GOST R EN 12354-5-2012
Статус:действует
Название рус.:Акустика зданий. Методы расчета акустических характеристик зданий по характеристикам их элементов. Часть 5. Шум инженерного оборудования
Название англ.:Building acoustics. Estimation of acoustic performance of buildings from the performance of elements. Part 5. Sound due to the service equipment
Дата добавления в базу:01.10.2014
Дата актуализации:05.05.2017
Дата введения:01.12.2013
Область применения:Стандарт устанавливает методы расчета уровня звукового давления шума в здании, вызванного работой инженерного оборудования. Как и стандарт для натурных измерений, стандарт распространяется на санитарно-техническое оборудование, вентиляционные системы, системы отопления и охлаждения, на вспомогательное инженерное оборудование, лифты, мусоропроводы, котлы, вентиляторы, насосы, автоматически открываемые ворота автостоянок, а также может применяться для другого оборудования, присоединяемого к зданию или установленного в нем. Оценка основана на результатах измерений, характеризующих как источники шума, так и строительные конструкции. Расчеты выполняют в полосах частот. Стандарт устанавливает основные принципы построения расчетных схем, определяет область их применения и ограничения, устанавливает перечень соответствующих величин. Стандарт предназначен для экспертов в области акустики и служит основой для разработки документов и программных средств для других специалистов в строительстве с учетом региональных требований.
Оглавление:1 Область применения
2 Нормативные ссылки
3 Термины и определения
4 Модели расчета
   4.1 Общие положения
   4.2 Звукопередача воздушного шума по воздуховодам и трубопроводам
   4.3 Звукопередача воздушного шума через конструкции здания
   4.4 Структурная звукопередача через конструкции здания
5 Применение расчетных моделей
   5.1 Расчет шума систем вентиляции
   5.2 Расчет шума отопительных установок
   5.3 Расчет шума лифтов
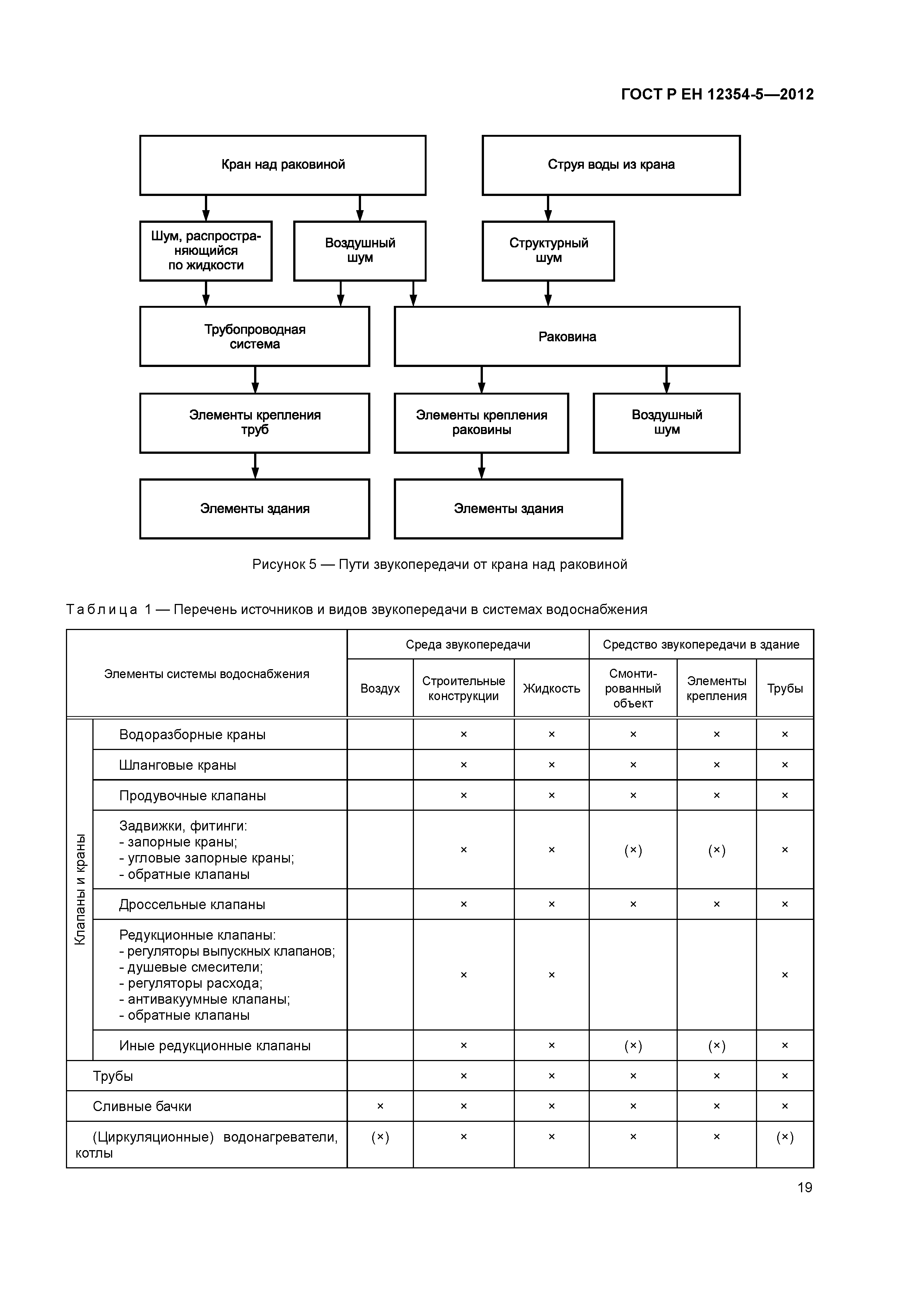
   5.4 Расчет шума установок водоснабжения
   5.5 Расчет шума внутренней канализации
   5.6 Расчет шума других видов инженерного оборудования
6 Неопределенность расчета
Приложение А (обязательное) Перечень основных обозначений
Приложение В (справочное) Источники воздушного шума в системах вентиляции
Приложение C (справочное) Источники воздушного шума
Приложение D (справочное) Источники структурного шума
Приложение Е (справочное) Передача шума по элементам воздуховодов и трубопроводных систем
Приложение F (справочное) Распространение шума в здании
Приложение G (справочное) Уровни шума на низких частотах
Приложение Н (справочное) Руководство по проектированию систем инженерного оборудования
Приложение I (справочное) Примеры расчета
Приложение ДА (справочное) Сведения о соответствии ссылочных международных стандартов ссылочным национальным стандартам Российской Федерации (и действующим в этом качестве межгосударственным стандартам)
Библиография
Разработан: АНО НИЦ КД
Утверждён:29.11.2012 Федеральное агентство по техническому регулированию и метрологии (1385-ст)
Издан: Стандартинформ (2014 г. )
Расположен в:Техническая документация Электроэнергия СТРОИТЕЛЬНЫЕ МАТЕРИАЛЫ И СТРОИТЕЛЬСТВО Защита зданий снаружи и внутри Акустика в зданиях. Звукоизоляция Экология СТРОИТЕЛЬНЫЕ МАТЕРИАЛЫ И СТРОИТЕЛЬСТВО Защита зданий снаружи и внутри Акустика в зданиях. Звукоизоляция Строительство Стандарты Другие государственные стандарты, применяемые в строительстве Строительные материалы и строительство
Нормативные ссылки:
ГОСТ Р ЕН 12354-5-2012ГОСТ Р ЕН 12354-5-2012ГОСТ Р ЕН 12354-5-2012ГОСТ Р ЕН 12354-5-2012ГОСТ Р ЕН 12354-5-2012ГОСТ Р ЕН 12354-5-2012ГОСТ Р ЕН 12354-5-2012ГОСТ Р ЕН 12354-5-2012ГОСТ Р ЕН 12354-5-2012ГОСТ Р ЕН 12354-5-2012ГОСТ Р ЕН 12354-5-2012ГОСТ Р ЕН 12354-5-2012ГОСТ Р ЕН 12354-5-2012ГОСТ Р ЕН 12354-5-2012ГОСТ Р ЕН 12354-5-2012ГОСТ Р ЕН 12354-5-2012ГОСТ Р ЕН 12354-5-2012ГОСТ Р ЕН 12354-5-2012ГОСТ Р ЕН 12354-5-2012ГОСТ Р ЕН 12354-5-2012ГОСТ Р ЕН 12354-5-2012ГОСТ Р ЕН 12354-5-2012ГОСТ Р ЕН 12354-5-2012ГОСТ Р ЕН 12354-5-2012ГОСТ Р ЕН 12354-5-2012ГОСТ Р ЕН 12354-5-2012ГОСТ Р ЕН 12354-5-2012ГОСТ Р ЕН 12354-5-2012ГОСТ Р ЕН 12354-5-2012ГОСТ Р ЕН 12354-5-2012ГОСТ Р ЕН 12354-5-2012ГОСТ Р ЕН 12354-5-2012ГОСТ Р ЕН 12354-5-2012ГОСТ Р ЕН 12354-5-2012ГОСТ Р ЕН 12354-5-2012ГОСТ Р ЕН 12354-5-2012ГОСТ Р ЕН 12354-5-2012ГОСТ Р ЕН 12354-5-2012ГОСТ Р ЕН 12354-5-2012ГОСТ Р ЕН 12354-5-2012ГОСТ Р ЕН 12354-5-2012ГОСТ Р ЕН 12354-5-2012ГОСТ Р ЕН 12354-5-2012ГОСТ Р ЕН 12354-5-2012ГОСТ Р ЕН 12354-5-2012ГОСТ Р ЕН 12354-5-2012ГОСТ Р ЕН 12354-5-2012ГОСТ Р ЕН 12354-5-2012ГОСТ Р ЕН 12354-5-2012ГОСТ Р ЕН 12354-5-2012ГОСТ Р ЕН 12354-5-2012ГОСТ Р ЕН 12354-5-2012ГОСТ Р ЕН 12354-5-2012ГОСТ Р ЕН 12354-5-2012ГОСТ Р ЕН 12354-5-2012ГОСТ Р ЕН 12354-5-2012ГОСТ Р ЕН 12354-5-2012ГОСТ Р ЕН 12354-5-2012ГОСТ Р ЕН 12354-5-2012ГОСТ Р ЕН 12354-5-2012ГОСТ Р ЕН 12354-5-2012

© 2013 Ёшкин Кот :-) Карта сайта