Информационная система
«Ёшкин Кот»

Скачать базу одним архивом
Скачать обновления
История создания базы
Карта сайта

Скачать ГОСТ Р 54432-2011 Фланцы арматуры, соединительных частей и трубопроводов на номинальное давление от PN 1 до PN 200. Конструкция, размеры и общие технические требования

Дата актуализации: 10.08.2017

ГОСТ Р 54432-2011

Фланцы арматуры, соединительных частей и трубопроводов на номинальное давление от PN 1 до PN 200. Конструкция, размеры и общие технические требования

Обозначение: ГОСТ Р 54432-2011
Обозначение англ: GOST R 54432-2011
Статус:отменен
Название рус.:Фланцы арматуры, соединительных частей и трубопроводов на номинальное давление от PN 1 до PN 200. Конструкция, размеры и общие технические требования
Название англ.:Flanges for valves, fittings, and pipelines for pressure from PN 1 to PN 200. Design, dimensions and general technical requirements
Дата добавления в базу:01.09.2013
Дата актуализации:05.05.2017
Дата введения:01.04.2017
Область применения:Стандарт распространяется на присоединительные фланцы трубопроводной арматуры, соединительных частей и трубопроводов, а также на присоединительные фланцы машин, приборов, патрубков, аппаратов и резервуаров на номинальное давление от PN 1 до PN 200 и устанавливает конструкцию и размеры стальных и чугунных фланцев, определяет типы фланцев, типы форм уплотнительных поверхностей, устанавливает технические требования к изготовлению, маркировке, испытаниям и контролю. Также в стандарте приведены рекомендации по выбору материала для фланцев и крепежных деталей. На фланцы для других объектов, параметров и условий применения действуют ГОСТ 1536, ГОСТ 4433, ГОСТ 9399, ГОСТ 25660, ГОСТ 28759.1-ГОСТ 28759.5. Стандарт может быть использован для подтверждения соответствия..
Оглавление:1 Область применения
2 Нормативные ссылки
3 Термины, определения и сокращения
4 Типы фланцев и исполнения уплотнительных поверхностей
5 Размеры уплотнительных поверхностей
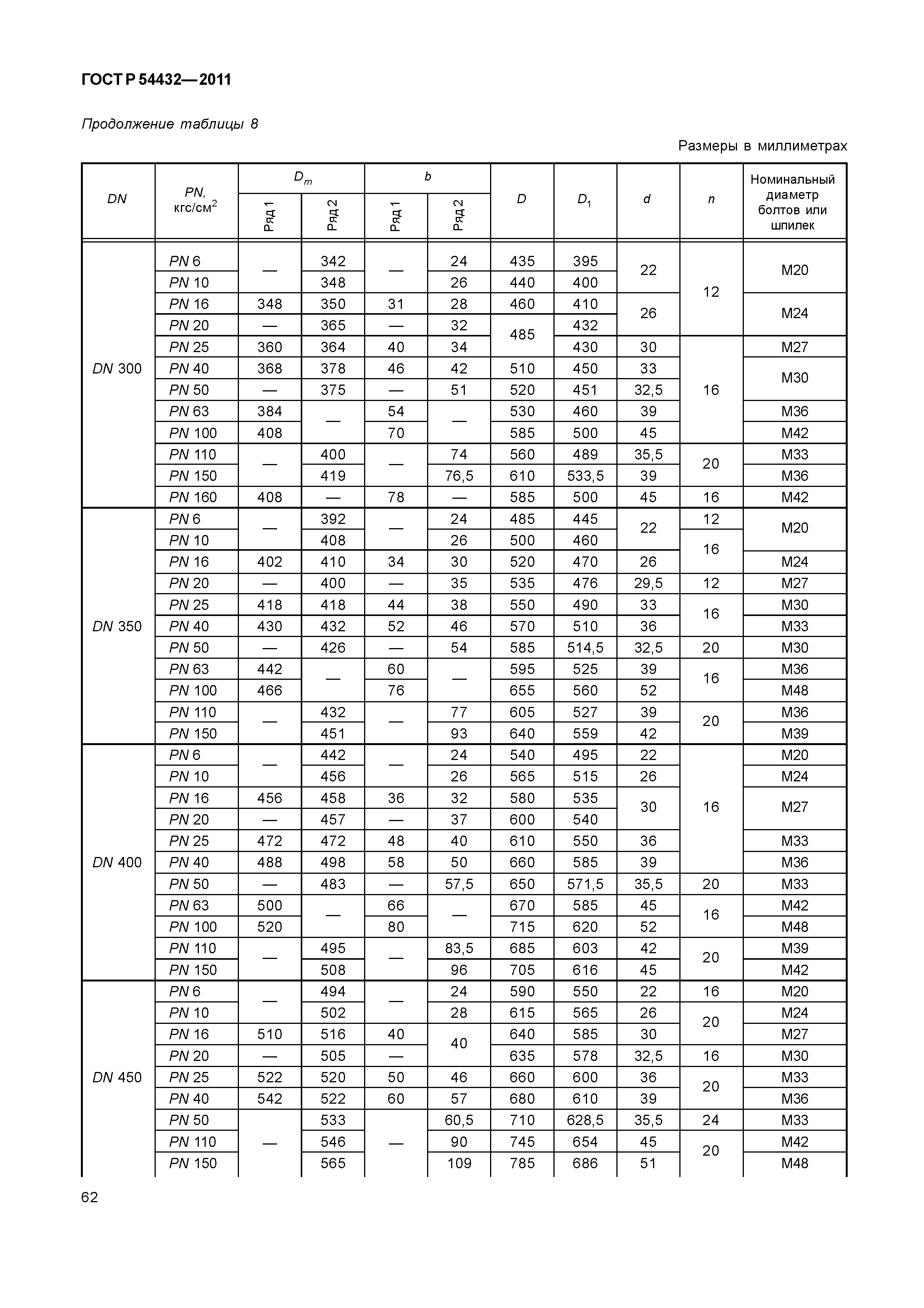
6 Размеры стальных и чугунных фланцев
7 Технические требования
8 Испытания и контроль качества
9 Маркировка, упаковка, транспортирование и хранение
Приложение А (рекомендуемое) Форма заявки на изготовление (поставку) партии фланцев
Приложение Б (справочное) Расчетная масса фланцев
Приложение В (рекомендуемое) Форма паспорта на фланцы
Библиография
Разработан: ЗАО НПФ ЦКБА
Утверждён:28.09.2011 Федеральное агентство по техническому регулированию и метрологии (374-ст)
Издан: Стандартинформ (2012 г. )
Расположен в:Техническая документация Электроэнергия ГИДРАВЛИЧЕСКИЕ И ПНЕВМАТИЧЕСКИЕ СИСТЕМЫ И КОМПОНЕНТЫ ОБЩЕГО НАЗНАЧЕНИЯ Трубопроводы и их компоненты Фланцы, муфты и соединения Экология ГИДРАВЛИЧЕСКИЕ И ПНЕВМАТИЧЕСКИЕ СИСТЕМЫ И КОМПОНЕНТЫ ОБЩЕГО НАЗНАЧЕНИЯ Трубопроводы и их компоненты Фланцы, муфты и соединения Строительство Стандарты Другие государственные стандарты, применяемые в строительстве Гидравлические и пневматические системы и компоненты общего назначения
Список изменений:
Нормативные ссылки:
ГОСТ Р 54432-2011ГОСТ Р 54432-2011ГОСТ Р 54432-2011ГОСТ Р 54432-2011ГОСТ Р 54432-2011ГОСТ Р 54432-2011ГОСТ Р 54432-2011ГОСТ Р 54432-2011ГОСТ Р 54432-2011ГОСТ Р 54432-2011ГОСТ Р 54432-2011ГОСТ Р 54432-2011ГОСТ Р 54432-2011ГОСТ Р 54432-2011ГОСТ Р 54432-2011ГОСТ Р 54432-2011ГОСТ Р 54432-2011ГОСТ Р 54432-2011ГОСТ Р 54432-2011ГОСТ Р 54432-2011ГОСТ Р 54432-2011ГОСТ Р 54432-2011ГОСТ Р 54432-2011ГОСТ Р 54432-2011ГОСТ Р 54432-2011ГОСТ Р 54432-2011ГОСТ Р 54432-2011ГОСТ Р 54432-2011ГОСТ Р 54432-2011ГОСТ Р 54432-2011ГОСТ Р 54432-2011ГОСТ Р 54432-2011ГОСТ Р 54432-2011ГОСТ Р 54432-2011ГОСТ Р 54432-2011ГОСТ Р 54432-2011ГОСТ Р 54432-2011ГОСТ Р 54432-2011ГОСТ Р 54432-2011ГОСТ Р 54432-2011ГОСТ Р 54432-2011ГОСТ Р 54432-2011ГОСТ Р 54432-2011ГОСТ Р 54432-2011ГОСТ Р 54432-2011ГОСТ Р 54432-2011ГОСТ Р 54432-2011ГОСТ Р 54432-2011ГОСТ Р 54432-2011ГОСТ Р 54432-2011ГОСТ Р 54432-2011ГОСТ Р 54432-2011ГОСТ Р 54432-2011ГОСТ Р 54432-2011ГОСТ Р 54432-2011ГОСТ Р 54432-2011ГОСТ Р 54432-2011ГОСТ Р 54432-2011ГОСТ Р 54432-2011ГОСТ Р 54432-2011ГОСТ Р 54432-2011ГОСТ Р 54432-2011ГОСТ Р 54432-2011ГОСТ Р 54432-2011ГОСТ Р 54432-2011ГОСТ Р 54432-2011ГОСТ Р 54432-2011ГОСТ Р 54432-2011ГОСТ Р 54432-2011ГОСТ Р 54432-2011ГОСТ Р 54432-2011ГОСТ Р 54432-2011ГОСТ Р 54432-2011ГОСТ Р 54432-2011ГОСТ Р 54432-2011ГОСТ Р 54432-2011ГОСТ Р 54432-2011ГОСТ Р 54432-2011ГОСТ Р 54432-2011ГОСТ Р 54432-2011ГОСТ Р 54432-2011ГОСТ Р 54432-2011ГОСТ Р 54432-2011ГОСТ Р 54432-2011ГОСТ Р 54432-2011ГОСТ Р 54432-2011ГОСТ Р 54432-2011ГОСТ Р 54432-2011ГОСТ Р 54432-2011ГОСТ Р 54432-2011ГОСТ Р 54432-2011ГОСТ Р 54432-2011ГОСТ Р 54432-2011ГОСТ Р 54432-2011ГОСТ Р 54432-2011

Текстовое изменение Поправка от 25.12.2012

ПоправкаПоправка

© 2013 Ёшкин Кот :-) Карта сайта