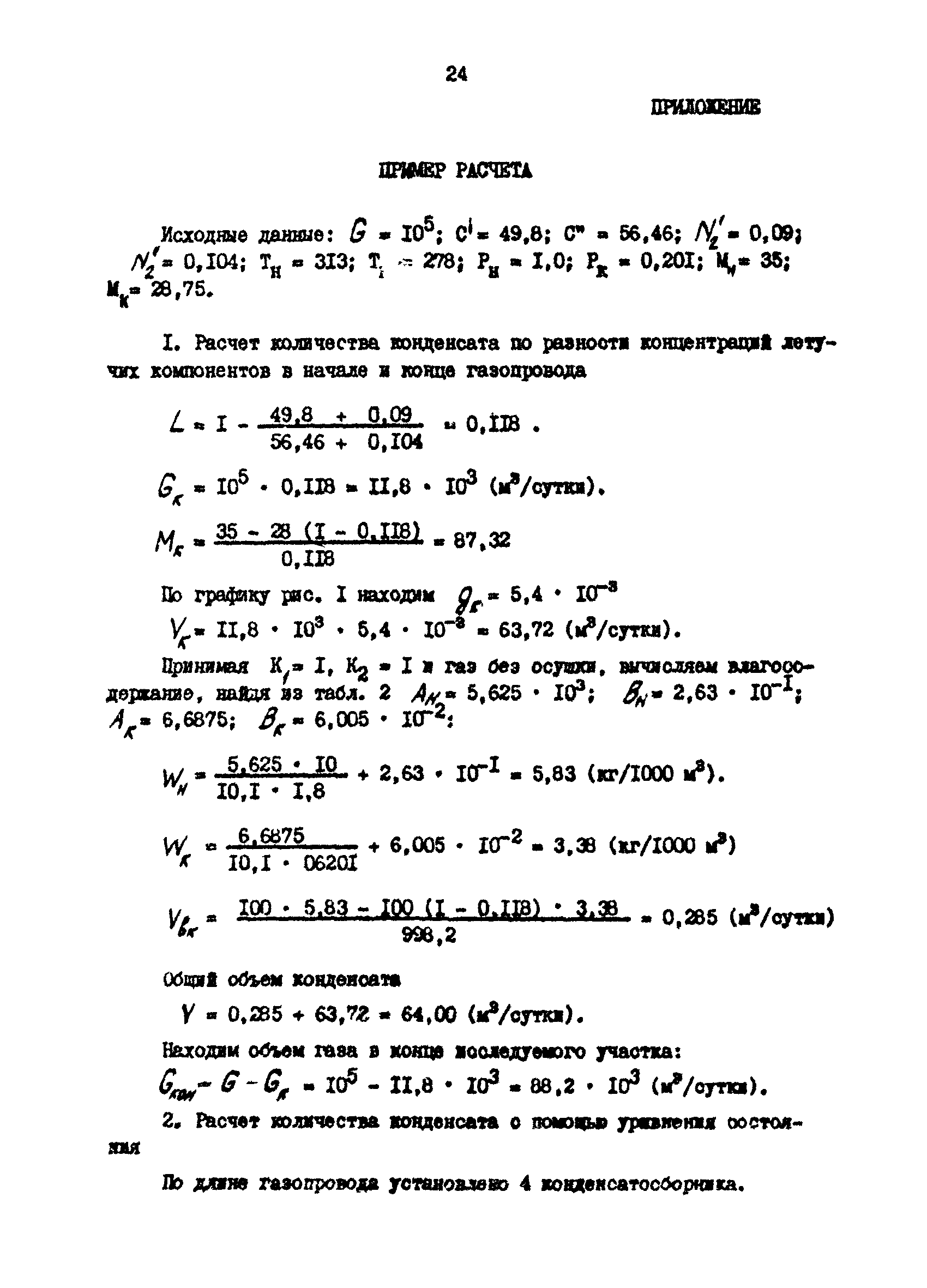
Скачать РД 39-0147103-311-86 Методика определения количества конденсата, выпадающего в газопроводеДата актуализации: 10.08.2017 РД 39-0147103-311-86
Методика определения количества конденсата, выпадающего в газопроводеОбозначение: | РД 39-0147103-311-86 | Обозначение англ: | RD 39-0147103-311-86 | Статус: | не действует | Название рус.: | Методика определения количества конденсата, выпадающего в газопроводе | Дата добавления в базу: | 01.09.2013 | Дата актуализации: | 05.05.2017 | Дата введения: | 01.03.1989 | Область применения: | Методика предназначена для определения количества конденсата, образующегося из газа, транспортируемого по промысловым газопроводам, и, соответственно, определения уменьшения количества транспортируемого газа в результате частичной конденсации, когда непосредственное инструментальное измерение не осуществимо. | Оглавление: | 1 Общие положения 2 Определение объема конденсата, выпадающего в газопроводе 3 Расчет молярной доли конденсата с помощью уравнения состояния газовой смеси 4 Определение погрешности вычислений Литература Приложение. Пример расчета | Разработан: | ВНИИСПТнефть
| Утверждён: | 25.12.1985 Министерство нефтяной промышленности СССР (USSR Ministry of the Petroleum Industry )
| Расположен в: |
| Нормативные ссылки: | |
                                     
|