Информационная система
«Ёшкин Кот»

Скачать базу одним архивом
Скачать обновления
История создания базы
Карта сайта

Скачать ГОСТ Р 52977-2008 Информатизация здоровья. Состав данных о взаиморасчетах за пролеченных пациентов для электронного обмена этими данными. Общие требования

Дата актуализации: 10.08.2017

ГОСТ Р 52977-2008

Информатизация здоровья. Состав данных о взаиморасчетах за пролеченных пациентов для электронного обмена этими данными. Общие требования

Обозначение: ГОСТ Р 52977-2008
Обозначение англ: GOST R 52977-2008
Статус:действует
Название рус.:Информатизация здоровья. Состав данных о взаиморасчетах за пролеченных пациентов для электронного обмена этими данными. Общие требования
Название англ.:Health informatics. Structure of data about interconnections of the treated patients for the electronic exchange of these data. General requirements
Дата добавления в базу:01.09.2013
Дата актуализации:05.05.2017
Дата введения:01.05.2009
Область применения:Стандарт устанавливает требования к составу данных при организации взаиморасчетов между субъектами системы медицинского страхования для обеспечения электронного обмена при информационном взаимодействии автоматизированных информационных систем. Стандарт распространяется на автоматизированные информационные системы, формирующие или использующие данные взаиморасчетов за пролеченных пациентов по программе медицинского страхования. Понятие "электронный обмен" используется с целью распространения области применения стандарта только на данные взаиморасчетов за пролеченных пациентов по программе медицинского страхования, используемые при взаимодействии автоматизированных информационных систем.
Оглавление:1 Область применения
2 Нормативные ссылки
3 Термины, определения и сокращения
4 Общие требования
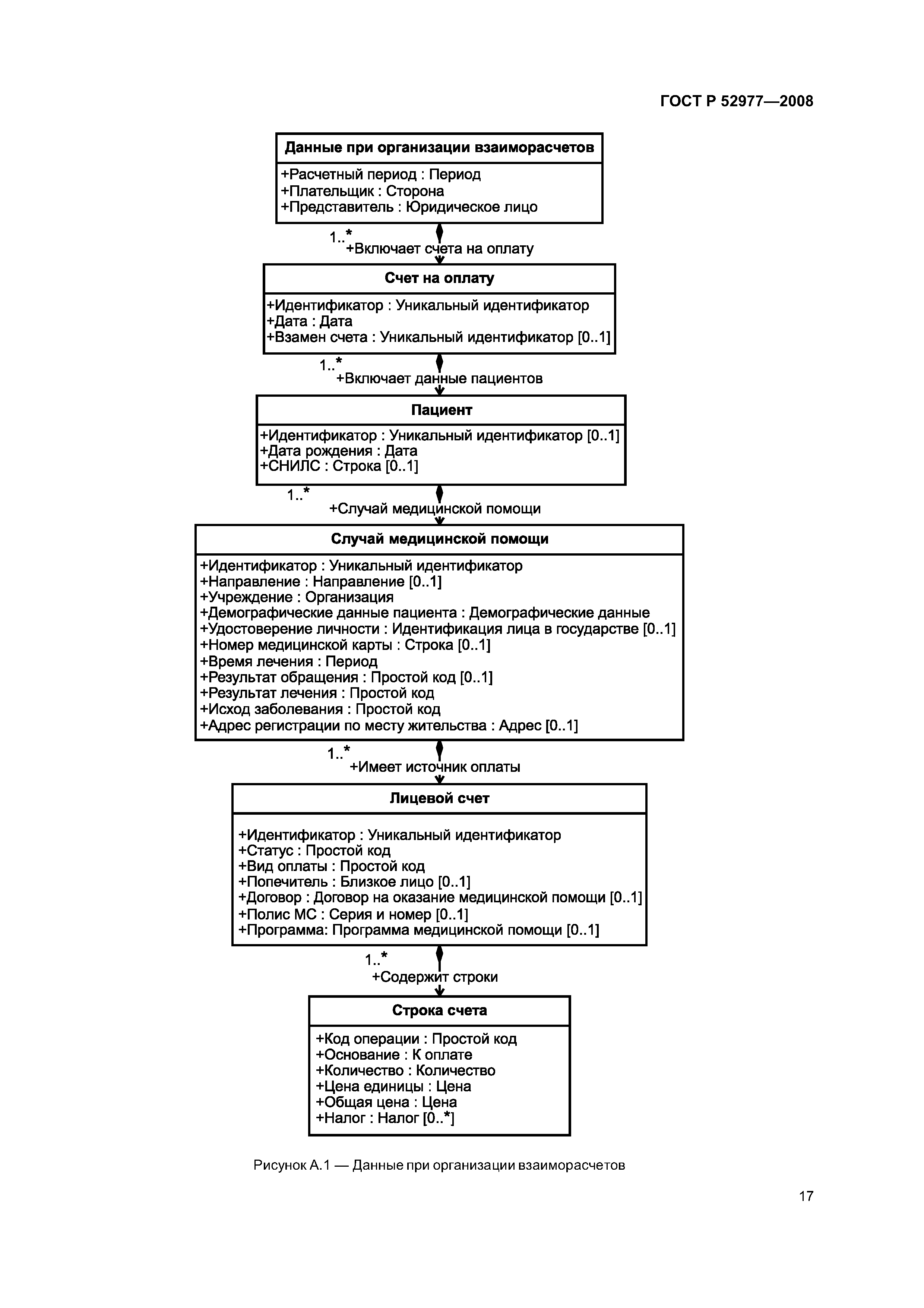
Приложение А (справочное) Диаграммы классов информационных объектов на унифицированном языке моделирования UML
Библиография
Разработан: Некоммерческое партнерство Ассоциация медицинской информатики
ФГУ ЦНИИ организации и информатизации здравоохранения Федерального агентства по здравоохранению и социальному развитию
Утверждён:13.10.2008 Федеральное агентство по техническому регулированию и метрологии (240-ст)
Издан: Стандартинформ (2009 г. )
Расположен в:Техническая документация Электроэнергия ИНФОРМАЦИОННЫЕ ТЕХНОЛОГИИ. МАШИНЫ КОНТОРСКИЕ Применение информационных технологий Применение информационных технологий в здравоохранении Экология ИНФОРМАЦИОННЫЕ ТЕХНОЛОГИИ. МАШИНЫ КОНТОРСКИЕ Применение информационных технологий Применение информационных технологий в здравоохранении
Нормативные ссылки:
ГОСТ Р 52977-2008ГОСТ Р 52977-2008ГОСТ Р 52977-2008ГОСТ Р 52977-2008ГОСТ Р 52977-2008ГОСТ Р 52977-2008ГОСТ Р 52977-2008ГОСТ Р 52977-2008ГОСТ Р 52977-2008ГОСТ Р 52977-2008ГОСТ Р 52977-2008ГОСТ Р 52977-2008ГОСТ Р 52977-2008ГОСТ Р 52977-2008ГОСТ Р 52977-2008ГОСТ Р 52977-2008ГОСТ Р 52977-2008ГОСТ Р 52977-2008ГОСТ Р 52977-2008ГОСТ Р 52977-2008ГОСТ Р 52977-2008ГОСТ Р 52977-2008ГОСТ Р 52977-2008

© 2013 Ёшкин Кот :-) Карта сайта