| ||||||||||||||||||||||||||||||||||
Скачать ГОСТ Р 52994-2008 Жир молочный. Определение пероксидного числаДата актуализации: 10.08.2017
|
| Обозначение: | ГОСТ Р 52994-2008 |
| Обозначение англ: | GOST R 52994-2008 |
| Статус: | действует |
| Название рус.: | Жир молочный. Определение пероксидного числа |
| Название англ.: | Milk fat. Determination of peroxide value |
| Дата добавления в базу: | 01.09.2013 |
| Дата актуализации: | 05.05.2017 |
| Дата введения: | 01.01.2010 |
| Область применения: | Стандарт устанавливает метод определения пероксидного числа в обезвоженом молочном жире. Метод применим к молочному жиру с пероксидным числом до 1,3 ммоль кислорода на килограмм. |
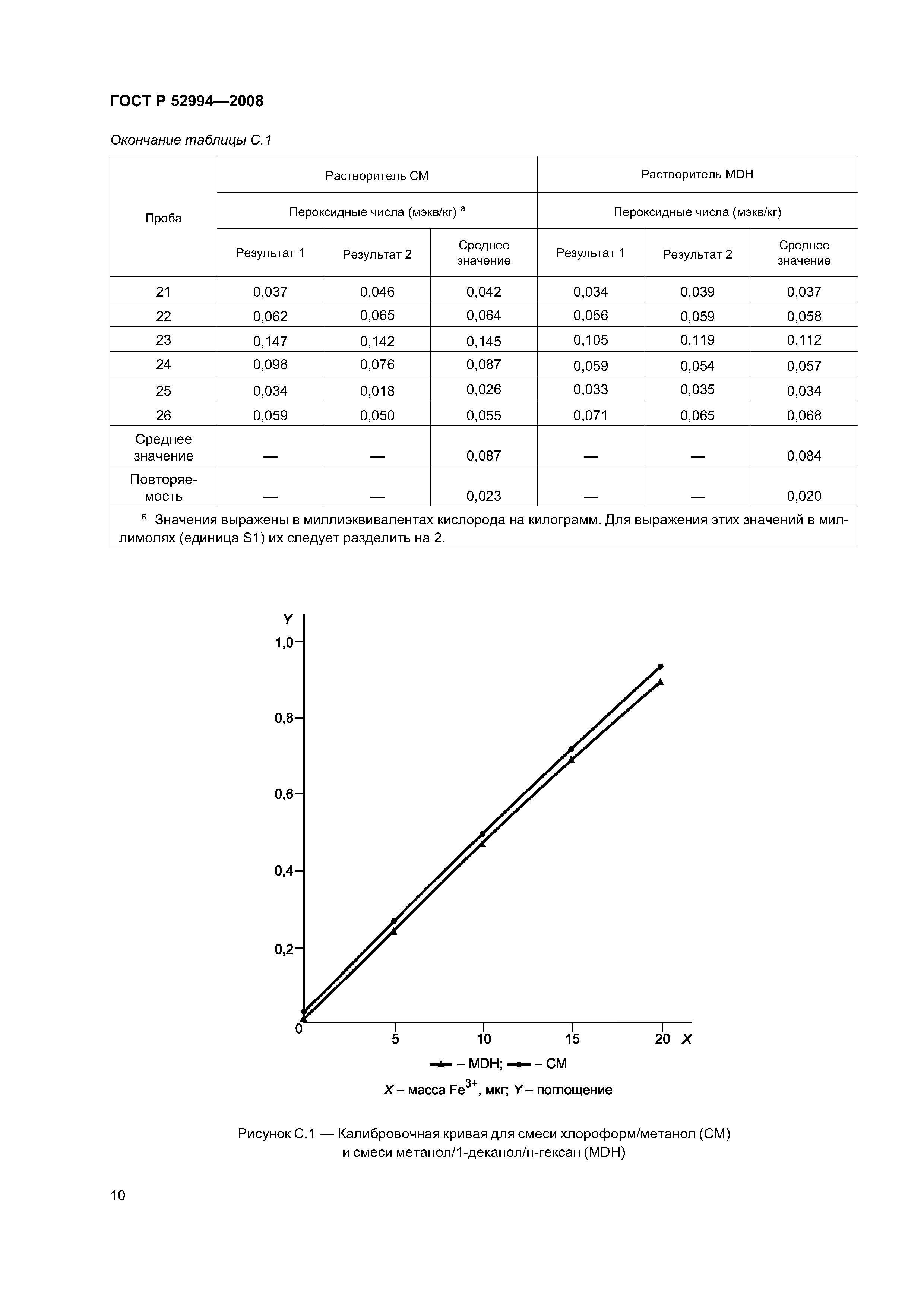
| Оглавление: | 1 Область применения 2 Нормативные ссылки 3 Термины и определения 4 Сущность метода 5 Реактивы 6 Лабораторное оборудование 7 Отбор проб 8 Подготовка пробы для испытания 9 Методика (схема дана в приложении А) 10 Расчет и выражение результатов 11 Прецизионность 12 Протокол испытания Приложение А (справочное) Схема методики и примеры расчетов Приложение В (справочное) Межлабораторное испытание Приложение С (справочное) Сравнительное испытание Библиография |
| Разработан: | ОАО ВНИИС |
| Утверждён: | 06.11.2008 Федеральное агентство по техническому регулированию и метрологии (287-ст) |
| Издан: | Стандартинформ (2009 г. ) |
| Расположен в: | |
| Нормативные ссылки: |
|














