| ||||||||||||||||||||||||||||||||||||
Скачать РМГ 76-2004 Государственная система обеспечения единства измерений. Внутренний контроль качества результатов количественного химического анализаДата актуализации: 10.08.2017
|
| Обозначение: | РМГ 76-2004 |
| Обозначение англ: | RMG 76-2004 |
| Статус: | заменен |
| Название рус.: | Государственная система обеспечения единства измерений. Внутренний контроль качества результатов количественного химического анализа |
| Название англ.: | State system for ensuring the uniformity of measurements. Internal control of quantitative chemical analysis result's accuracy |
| Дата добавления в базу: | 01.09.2013 |
| Дата актуализации: | 05.05.2017 |
| Дата введения: | 01.01.2016 |
| Область применения: | Рекомендации определяют порядок и содержание работ по внутрилабораторному (внутреннему) контролю качества результатов количественного химического анализа при реализации в отдельной лаборатории конкретной методики с установленными показателями качества. |
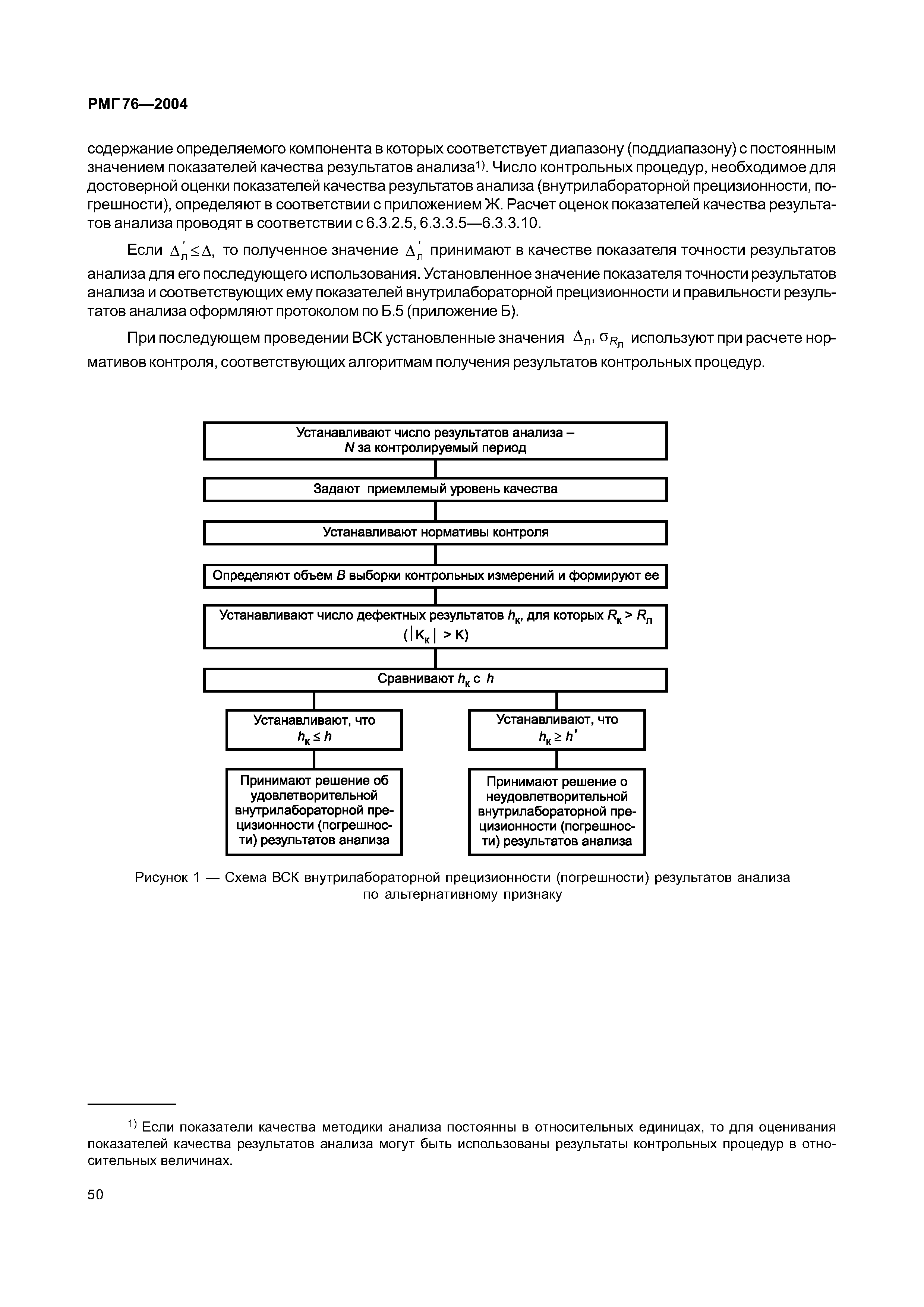
| Оглавление: | 1 Область применения 2 Нормативные ссылки 3 Термины и определения 4 Общие положения 5 Алгоритмы оперативного контроля процедуры анализа 6 Контроль стабильности результатов анализа с использованием контрольных карт 7 Контроль стабильности результатов анализа в форме периодической проверки подконтрольности процедуры выполнения анализа 8 Контроль стабильности результатов анализа в форме выборочного статистического контроля внутрилабораторной прецизионности и погрешности результатов анализа Приложение А (справочное) Обозначения и сокращения Приложение Б (рекомендуемое) Общие требования к организации эксперимента по установлению показателей качества результатов анализа при реализации методики анализа в конкретной лаборатории Приложение В (рекомендуемое) Методы оценки показателей качества результатов анализа Приложение Г (справочное) Статистические таблицы Приложение Д (рекомендуемое) Расчет результатов контрольных процедур и нормативов контроля при оперативном контроле процедуры анализа (в случае, когда показатель точности результатов анализа задан в виде несимметричного относительно нуля интервала) Приложение Е (рекомендуемое) Формы регистрации результатов оперативного контроля процедуры анализа Приложение Ж (справочное) Значения неопределенности оценки характеристик контролируемых показателей качества результатов анализа Приложение И (рекомендуемое) Расчет результатов контрольных процедур, нормативов контроля - пределов действия и предупреждения, средней линии - при построении контрольных карт Шухарта (в случае, когда показатель точности результатов анализа задан в виде несимметричного относительно нуля интервала) Приложение К (справочное) Примеры построения контрольных карт Шухарта Приложение Л (рекомендуемое) Формы регистрации результатов контроля при периодической проверке подконтрольности процедуры выполнения анализа Приложение М (рекомендуемое) Форма регистрации результатов выборочного статистического контроля внутрилабораторной прецизионности с использованием рабочих проб Библиография |
| Разработан: | ФГУП УНИИМ |
| Утверждён: | 08.12.2004 Межгосударственный Совет по стандартизации, метрологии и сертификации (Inter-Governmental Council on Standardization, Metrology, and Certification 26) 13.03.2006 Федеральное агентство по техническому регулированию и метрологии (31-ст) |
| Издан: | Стандартинформ (2006 г. ) Стандартинформ (2007 г. ) Стандартинформ (2008 г. ) Стандартинформ (2011 г. ) |
| Расположен в: | |
| Чем заменён: | |
| Нормативные ссылки: |
|





















































































