| ||||||||||||||||||||||||||||||||
Скачать Серия 1.411.1-7 Выпуск 0-3м. Фундаменты под железобетонные колонны зданий для районов вечной мерзлоты. Материалы для проектированияДата актуализации: 10.08.2017
|
| Обозначение: | Серия 1.411.1-7 |
| Обозначение англ: | Series 1.411.1-7 |
| Статус: | не определен законодательством |
| Название рус.: | Выпуск 0-3м. Фундаменты под железобетонные колонны зданий для районов вечной мерзлоты. Материалы для проектирования |
| Дата добавления в базу: | 01.09.2013 |
| Дата актуализации: | 05.05.2017 |
| Дата введения: | 01.03.1995 |
| Область применения: | Выпуск 0-3м серии 1.411.1-7 содержит проектную документацию на свайные фундаменты под железобетонные колонны прямоугольного сечения одноэтажных производственных зданий, возводимых на вечномерзлых грунтах |
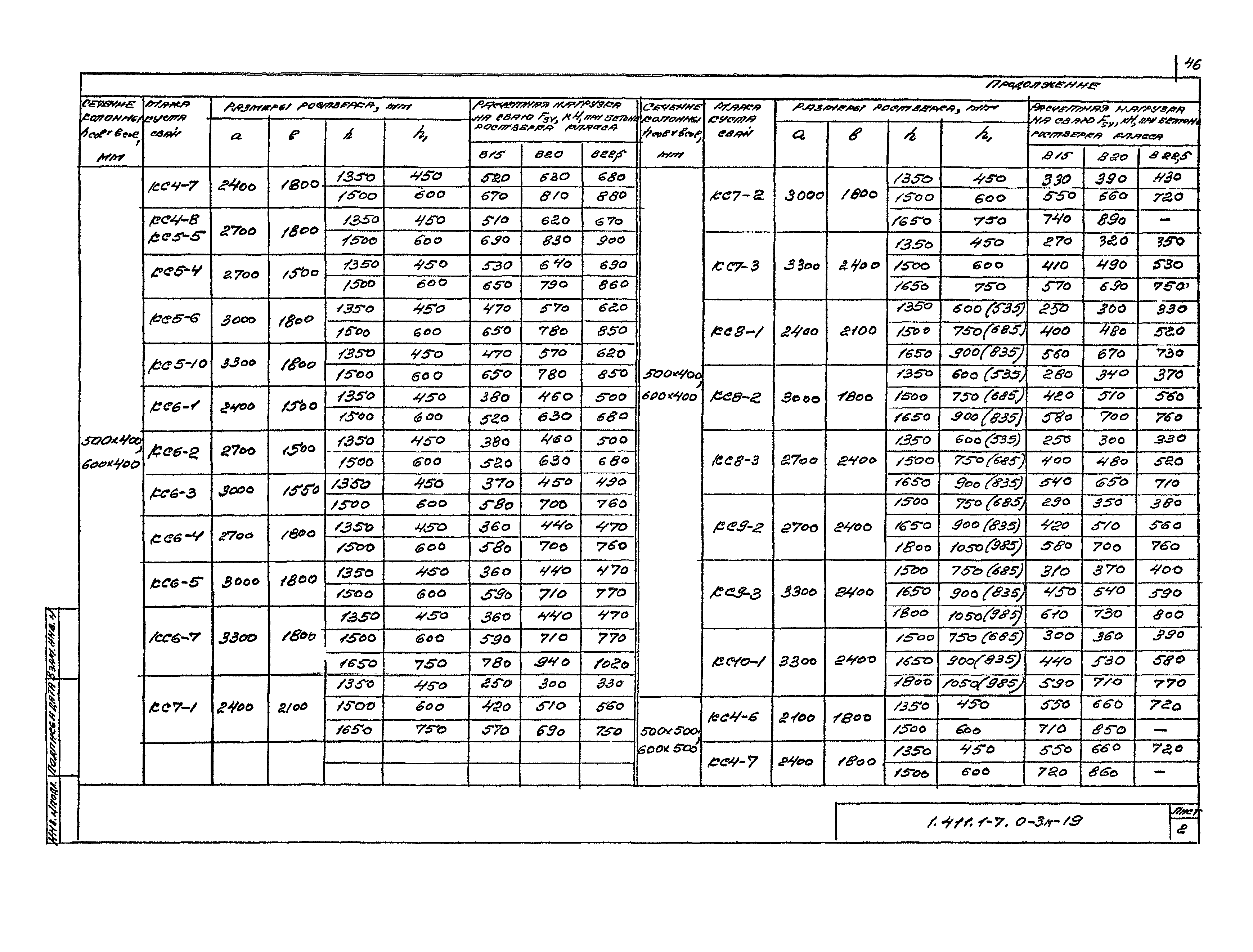
| Оглавление: | 1.411.1-7.0-3м-ПЗ Пояснительная записка 1.411.1-7.0-3м-1 Ключ для определения несущей способности сваи в вечномерзлом грунте 1.411.1-7.0-3м-2 Планы и маркировка свай 1.411.1-7.0-3м-3 Конструктивное решение перекрытия над холодным подпольем 1.411.1-7.0-3м-4 Свайный фундамент Ф1 1.411.1-7.0-3м-5 Свайный фундамент Ф2 1.411.1-7.0-3м-6 Свайный фундамент Ф3 1.411.1-7.0-3м-7 Свайный фундамент Ф4 1.411.1-7.0-3м-8 Свайный фундамент Ф5 1.411.1-7.0-3м-9 Свайный фундамент Ф6 1.411.1-7.0-3м-10 Свайный фундамент Ф7 1.411.1-7.0-3м-11 Ростверк РМХ.1 и РСМХ.1. Опалубочный чертеж 1.411.1-7.0-3м-12 Ростверк РМХ.2. Опалубочный чертеж 1.411.1-7.0-3м-13 Ростверк РМХ.3. Опалубочный чертеж 1.411.1-7.0-3м-14 Ростверк РМХ.4 и РСМХ.4. Опалубочный чертеж 1.411.1-7.0-3м-15 Ростверк РМХ.5. Опалубочный чертеж 1.411.1-7.0-3м-16 Ростверк РМХ.6. Опалубочный чертеж 1.411.1-7.0-3м-17 Ростверк РМ7-1… РМ7-4 1.411.1-7.0-3м-18 Ростверк РМ8-1… РМ8-2, РМ8-3 1.411.1-7.0-3м-19 Ключ для определения опалубочных размеров ростверка 1.411.1-7.0-3м-20 Армирование ростверков 1.411.1-7.0-3м-21 Схема сборки пространственного каркаса |
| Разработан: | ЦНИИпромзданий |
| Утверждён: | 03.11.1994 Главпроект Минстроя России (9-3-2/155) |
| Издан: | ГП ЦПП (1995 г. ) |
| Расположен в: | |
| Нормативные ссылки: |
|





























































