Информационная система
«Ёшкин Кот»

Скачать базу одним архивом
Скачать обновления
История создания базы
Карта сайта

Скачать Рекомендации по проектированию и применению железобетонных коробчатых настилов для покрытий и перекрытий

Дата актуализации: 10.08.2017

Рекомендации по проектированию и применению железобетонных коробчатых настилов для покрытий и перекрытий

Статус:не установлен срок действия
Название рус.:Рекомендации по проектированию и применению железобетонных коробчатых настилов для покрытий и перекрытий
Дата добавления в базу:01.09.2013
Дата актуализации:05.05.2017
Область применения:В Рекомендациях приведены основные положения по проектированию: применяемые марки бетона, стали и вид закладных изделий; расчет коробчатых настилов по предельным состояниям первой и второй групп, на монтажные нагрузки, с учетом их пространственной работы, на динамические, температурные и огневые воздействия; конструктивные схемы зданий и узлы сопряжений коробчатых настилов; теплотехнический расчет конструкций покрытия с коробчатыми настилами; технология изготовления коробчатых настилов и правила их перевозки железнодорожным и автомобильным транспортом.
Оглавление:Предисловие
1 Общие положения
2 Материалы конструкций. Бетон
3 Расчет коробчатого настила по предельным состояниям первой группы
4 Расчет коробчатого настила по предельным состояниям второй группы
5 Расчет коробчатого настила на воздействие усилий, возникающих при подъеме, монтаже и транспортировании
6 Пространственный расчет перекрытия с коробчатыми настилами
7 Расчет коробчатых настилов перекрытий на динамические воздействия
8 Расчет коробчатого настила на температурные воздействия
9 Теплотехнический расчет покрытий с коробчатыми настилами
10 Расчет коробчатого настила на огневые воздействия
11 Конструктивные требования
12 Конструктивные схемы зданий с применением коробчатых настилов
13 Узлы сопряжений торцов коробчатых настилов
14 Рекомендации по применению коробчатых настилов в сочетании со светильниками искусственного освещения и акустическими потолками
15 Технология изготовления коробчатых настилов технологическая схема производства
16 Правила перевозки коробчатых настилов
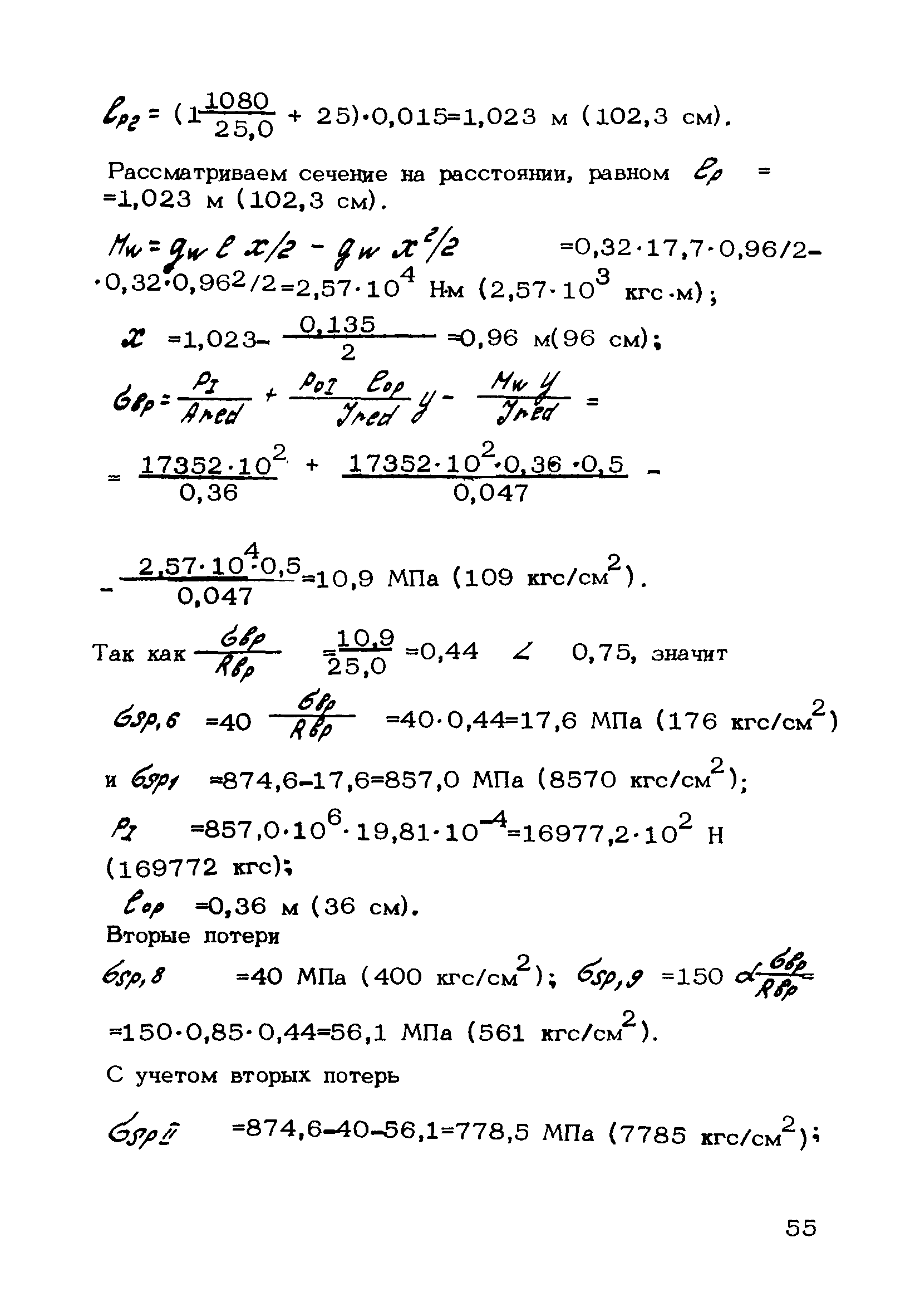
17 Примеры расчета
Приложение 1 Пространственный расчет перекрытия с коробчатыми настилами
Приложение 2 Значения функции ошибок гаусса (erf x)
Разработан: НИИСК Госстроя СССР
ЦНИИпромзданий
ЦНИИЭП торгово-бытовых зданий и туристских комплексов
НИИЖБ
ГПИ-5 Минлегпрома СССР
ГПИ-8 Минлегпрома СССР
Утверждён: ЦНИИ промзданий (TsNII promzdaniy )
Расположен в:Техническая документация Экология СТРОИТЕЛЬНЫЕ МАТЕРИАЛЫ И СТРОИТЕЛЬСТВО Технология строительства Организация и порядок производства работ. Управление качеством и обеспечение качества Строительство Справочные документы Директивные письма, положения, рекомендации и др.
Нормативные ссылки:

© 2013 Ёшкин Кот :-) Карта сайта