Информационная система
«Ёшкин Кот»

Скачать базу одним архивом
Скачать обновления
История создания базы
Карта сайта

Скачать 2528-82 Санитарные правила для предприятий цветной металлургии

Дата актуализации: 10.08.2017

2528-82

Санитарные правила для предприятий цветной металлургии

Обозначение: 2528-82
Обозначение англ: 2528-82
Статус:действует
Название рус.:Санитарные правила для предприятий цветной металлургии
Дата добавления в базу:01.09.2013
Дата актуализации:05.05.2017
Дата введения:24.02.1984
Область применения:Санитарные правила обязательны при проектировании новых, реконструкции и эксплуатации действующих предприятий цветной металлургии и распространяются на производства глинозема, фтористых солей, электродной массы, технического углерода, первичного алюминия, вторичного алюминия, свинца, цинка, меди, никеля, кобальта, вольфрама, магния и его сплавов, титана, молибдена, золотоизвлекательные фабрики (ЗИФ), производства платины и платиноидов, олова и его сплавов, редких и редкоземельных металлов (РЗМ).
Оглавление:1. Общие положения
2. Требования к генеральному плану и территории промышленной площадки
3. Требования к производственным зданиям и сооружениям
4. Требования к технологическим процессам и оборудованию
5. Требования к параметрам воздушной среды и контроль за условиями труда
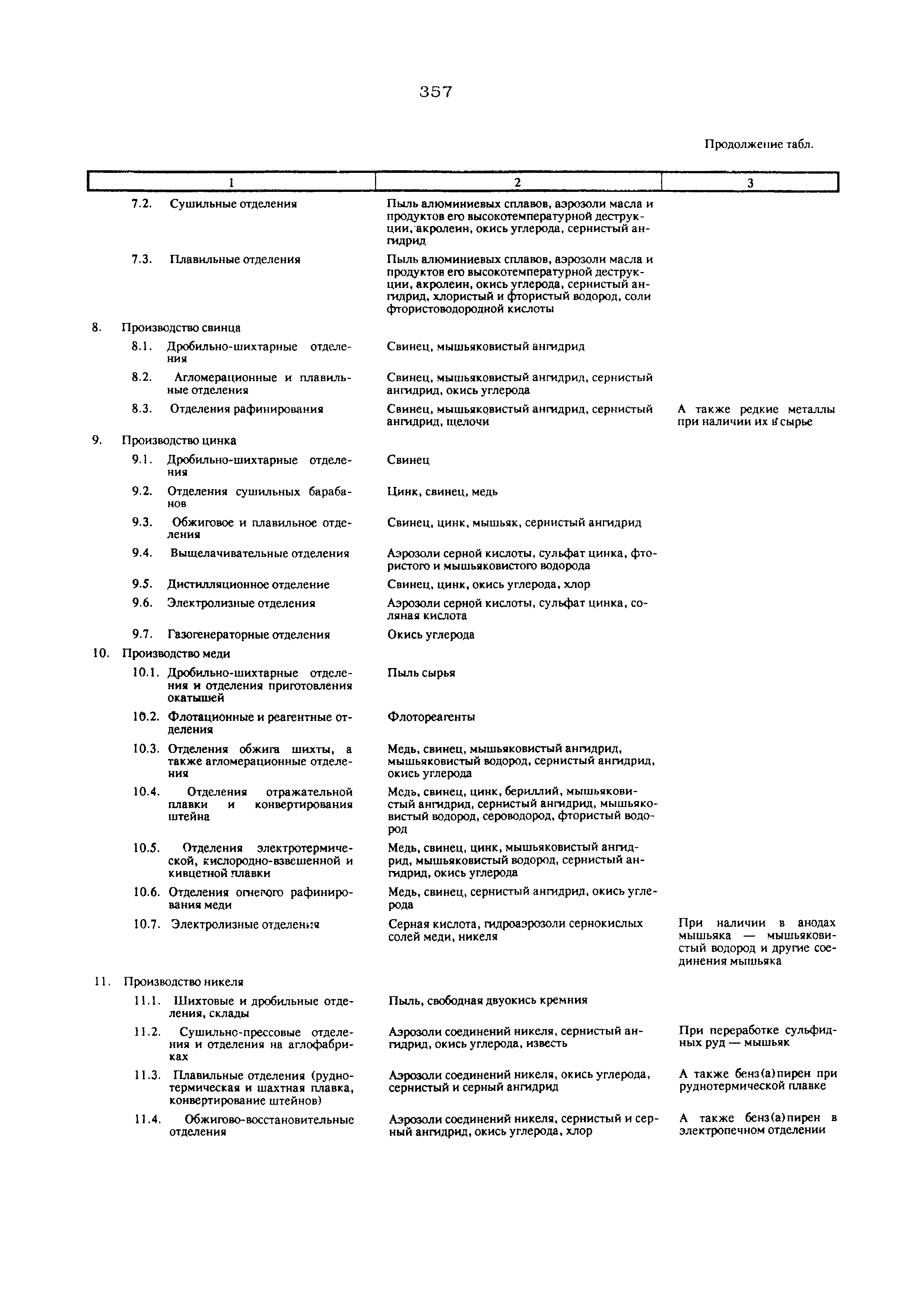
   Перечень основных вредных веществ, подлежащих плановому санитарному контролю в воздухе рабочей зоны
6. Требования к отоплению и вентиляции
7. Требования к искусственному освещению
8. Требования по защите от шума и вибрации
9. Требования к санитарно-бытовым и вспомогательным помещениям и медико-профилактическому обслуживанию рабочих
10. Охрана окружающей среды
Утверждён:24.02.1984 Главный государственный санитарный врач СССР (USSR Chief Public Health Officer 2528-82)
Издан: МП Рарог (1991 г. )
Расположен в:Техническая документация Экология МЕТАЛЛУРГИЯ Цветные металлы Цветные металлы в целом Строительство Нормативные документы Нормативные документы органов надзора Нормативные документы Госкомсанэпиднадзора и Минздрава Российской Федерации
Нормативные ссылки:
2528-822528-822528-822528-822528-822528-822528-822528-822528-822528-822528-822528-822528-822528-822528-822528-822528-822528-82

© 2013 Ёшкин Кот :-) Карта сайта