Информационная система
«Ёшкин Кот»

Скачать базу одним архивом
Скачать обновления
История создания базы
Карта сайта

Скачать ГОСТ 14250.2-80 Ферротитан. Методы определения углерода

Дата актуализации: 10.08.2017

ГОСТ 14250.2-80

Ферротитан. Методы определения углерода

Обозначение: ГОСТ 14250.2-80
Обозначение англ: GOST 14250.2-80
Статус:не действует
Название рус.:Ферротитан. Методы определения углерода
Название англ.:Ferrotitanium. Method for determination of carbon
Дата добавления в базу:21.05.2015
Дата актуализации:05.05.2017
Дата введения:01.01.1988
Область применения:Стандарт устанавливает кулометрический и газообъемный методы определения углерода (при массовой доле углерода от 0,05 до 2,0 %) в ферротитане.
Оглавление:1 Общие требования
2 Кулонометрический метод
3 Газообъемный метод
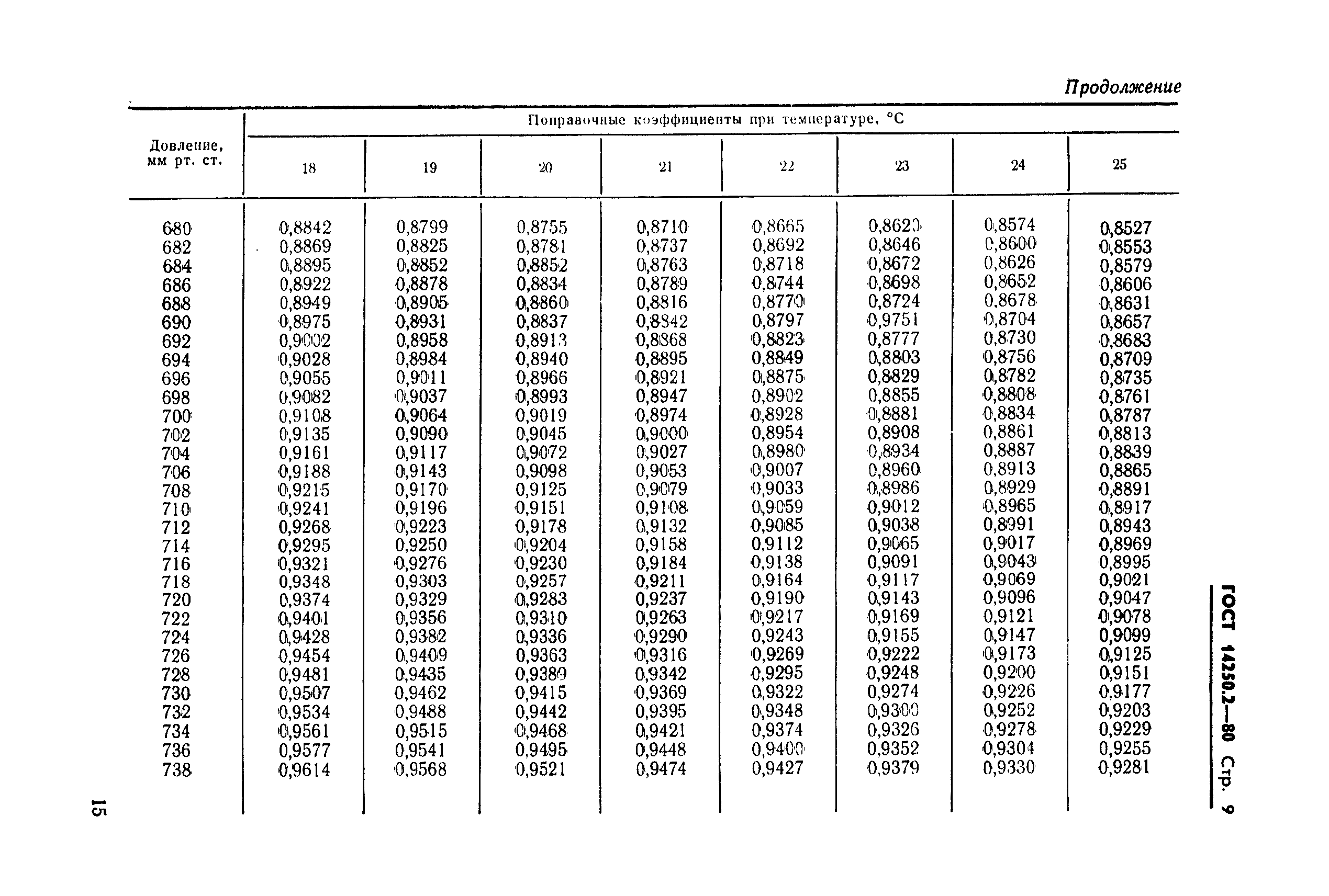
Приложение (справочное) Поправочные коэффициенты на температуру и атмосферное давление при определении содержания углерода газообъемным методом для измерительной бюретки (эвдиометра), градуированной при 16 °C и давлении 760 мм рт.ст., с использованием в качестве запирающей жидкости 2 %-ного раствора серной кислоты
Утверждён:17.03.1980 Государственный комитет по стандартам (1172)
Издан: Издательство стандартов (1985 г. )
Расположен в:Техническая документация
Заменяет собой:
  • ГОСТ 14250.2-69 «Ферротитан. Метод определения содержания углерода»
Чем заменён:
Нормативные ссылки:
ГОСТ 14250.2-80ГОСТ 14250.2-80ГОСТ 14250.2-80ГОСТ 14250.2-80ГОСТ 14250.2-80ГОСТ 14250.2-80ГОСТ 14250.2-80ГОСТ 14250.2-80ГОСТ 14250.2-80ГОСТ 14250.2-80ГОСТ 14250.2-80ГОСТ 14250.2-80ГОСТ 14250.2-80ГОСТ 14250.2-80ГОСТ 14250.2-80ГОСТ 14250.2-80ГОСТ 14250.2-80ГОСТ 14250.2-80ГОСТ 14250.2-80ГОСТ 14250.2-80ГОСТ 14250.2-80ГОСТ 14250.2-80ГОСТ 14250.2-80ГОСТ 14250.2-80

© 2013 Ёшкин Кот :-) Карта сайта