Информационная система
«Ёшкин Кот»

Скачать базу одним архивом
Скачать обновления
История создания базы
Карта сайта

Скачать ГОСТ Р 51992-2002 Устройства для защиты от импульсных перенапряжений в низковольтных силовых распределительных системах. Часть 1. Требования к работоспособности и методы испытаний

Дата актуализации: 10.08.2017

ГОСТ Р 51992-2002

Устройства для защиты от импульсных перенапряжений в низковольтных силовых распределительных системах. Часть 1. Требования к работоспособности и методы испытаний

Обозначение: ГОСТ Р 51992-2002
Обозначение англ: GOST R 51992-2002
Статус:не действует
Название рус.:Устройства для защиты от импульсных перенапряжений в низковольтных силовых распределительных системах. Часть 1. Требования к работоспособности и методы испытаний
Название англ.:Surge protective devices connected to low-voltage power distribution systems. Part 1. Performance requirements and testing methods
Дата добавления в базу:01.09.2013
Дата актуализации:05.05.2017
Дата введения:01.01.2004
Дата окончания срока действия:01.07.2012
Область применения:Стандарт распространяется на устройства для защиты электрических сетей и электрооборудования при прямом или косвенном воздействии грозовых или иных переходных перенапряжений. Данные устройства предназначены для подсоединения к силовым цепям переменного тока частотой 50-60 Гц или постоянного тока и к оборудованию на номинальное напряжение до 1000 В (действующее значение) или 1500 В постоянного тока.
Оглавление:1 Общие положения
   1.1 Область применения
   1.2 Нормативные ссылки
2 Условия эксплуатации
   2.1 Нормальные условия эксплуатации
   2.2 Аномальные условия эксплуатации
3 Определения
4 Классификация
   4.1 Число вводов
   4.2 Способ выполнения защиты от перенапряжения
   4.3 Испытания УЗИП классов I-III
   4.4 Местоположение
   4.5 Доступность
   4.6 Способ установки
   4.7 Разъединитель УЗИП
   4.8 Защита от сверхтока
   4.9 Степень защиты, обеспечиваемая оболочками, согласно кодам IP, указанным в ГОСТ 14254
   4.10 Диапазон температур
5 Стандартные параметры
   5.1 Предпочтительные значения импульсного тока для испытаний класса I
   5.2 Предпочтительные значения номинального разрядного тока для испытаний класса II
   5.3 Предпочтительные значения напряжения разомкнутой цепи Uос для испытаний класса III
   5.4 Предпочтительные значения уровня напряжения защиты Up
   5.5 Предпочтительные значения максимального длительного рабочего напряжения Uc действующего значения переменного или постоянного тока
6 Требования
   6.1 Общие требования
   6.2 Требования к электрической части
   6.3 Требования к механической части
   6.4 Требования к условиям окружающей среды
   6.5 Требования безопасности
   6.6 Дополнительные требования к испытаниям для двухвводных УЗИП и одновводных УЗИП с раздельными вводным и выводным выводами
7 Типовые испытания
   7.1 Общие условия испытаний
   7.2 Идентификация и маркировка
   7.3 Выводы и соединения
   7.4 Испытание защиты от прямого прикосновения
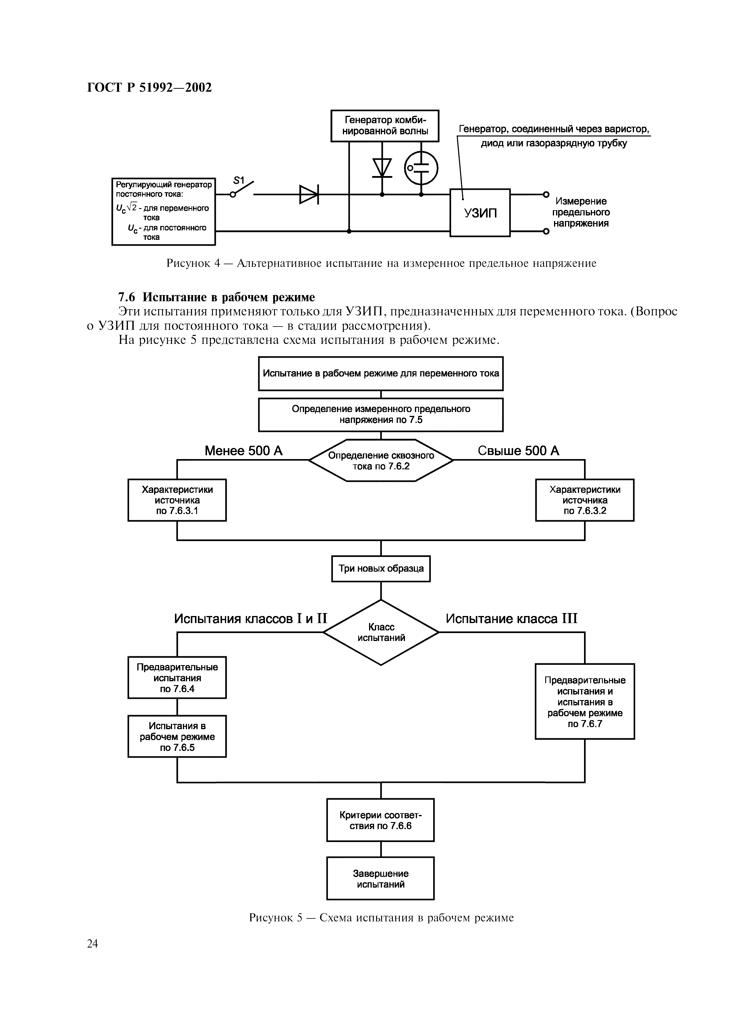
   7.5 Определение измеренного предельного напряжения
   7.6 Испытание в рабочем режиме
   7.7 Разъединители УЗ ИП и безопасная работоспособность УЗИП при перегрузке
   7.8 Испытание двух- и одновводных УЗИП с раздельными вводными и выводными выводами
   7.9 Дополнительные испытания
8 Контрольные и приемочные испытания
   8.1 Контрольные испытания
   8.2 Приемочные испытания
Приложение А Требования к УЗИП при проведении испытаний класса I
Приложение В Значения временного перенапряжения (ВПН)
Приложение С Дополнительные требования, учитывающие потребности экономики страны и требования государственных стандартов на электротехнические изделия
Приложение D Библиография
Разработан: ОАО ВНИИэлектроаппарат
Утверждён:25.12.2002 Госстандарт России (Russian Federation Gosstandart 517-ст)
Издан: ИПК Издательство стандартов (2003 г. )
Расположен в:Техническая документация Электроэнергия ЭЛЕКТРОТЕХНИКА Коммутационная аппаратура и аппаратура управления Низковольтная коммутационная аппаратура и аппаратура управления Экология ЭЛЕКТРОТЕХНИКА Коммутационная аппаратура и аппаратура управления Низковольтная коммутационная аппаратура и аппаратура управления
Чем заменён:
Нормативные ссылки:
ГОСТ Р 51992-2002ГОСТ Р 51992-2002ГОСТ Р 51992-2002ГОСТ Р 51992-2002ГОСТ Р 51992-2002ГОСТ Р 51992-2002ГОСТ Р 51992-2002ГОСТ Р 51992-2002ГОСТ Р 51992-2002ГОСТ Р 51992-2002ГОСТ Р 51992-2002ГОСТ Р 51992-2002ГОСТ Р 51992-2002ГОСТ Р 51992-2002ГОСТ Р 51992-2002ГОСТ Р 51992-2002ГОСТ Р 51992-2002ГОСТ Р 51992-2002ГОСТ Р 51992-2002ГОСТ Р 51992-2002ГОСТ Р 51992-2002ГОСТ Р 51992-2002ГОСТ Р 51992-2002ГОСТ Р 51992-2002ГОСТ Р 51992-2002ГОСТ Р 51992-2002ГОСТ Р 51992-2002ГОСТ Р 51992-2002ГОСТ Р 51992-2002ГОСТ Р 51992-2002ГОСТ Р 51992-2002ГОСТ Р 51992-2002ГОСТ Р 51992-2002ГОСТ Р 51992-2002ГОСТ Р 51992-2002ГОСТ Р 51992-2002ГОСТ Р 51992-2002ГОСТ Р 51992-2002ГОСТ Р 51992-2002ГОСТ Р 51992-2002ГОСТ Р 51992-2002ГОСТ Р 51992-2002ГОСТ Р 51992-2002ГОСТ Р 51992-2002ГОСТ Р 51992-2002ГОСТ Р 51992-2002ГОСТ Р 51992-2002ГОСТ Р 51992-2002ГОСТ Р 51992-2002ГОСТ Р 51992-2002ГОСТ Р 51992-2002ГОСТ Р 51992-2002ГОСТ Р 51992-2002ГОСТ Р 51992-2002

© 2013 Ёшкин Кот :-) Карта сайта