Информационная система
«Ёшкин Кот»

Скачать базу одним архивом
Скачать обновления
История создания базы
Карта сайта

Скачать ГОСТ 16632-80 Пуансоны квадратные быстросменные. Конструкция и размеры

Дата актуализации: 10.08.2017

ГОСТ 16632-80

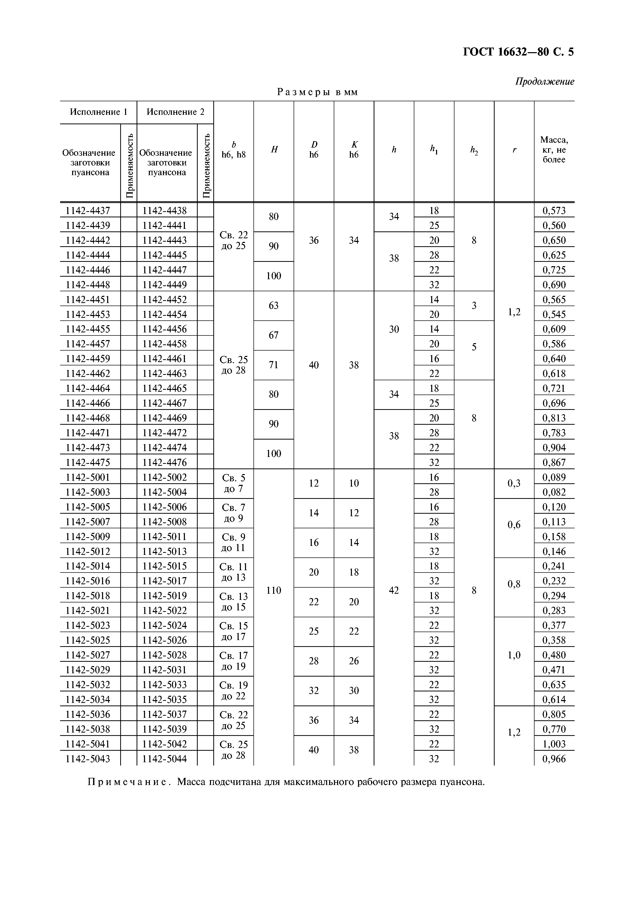
Пуансоны квадратные быстросменные. Конструкция и размеры

Обозначение: ГОСТ 16632-80
Обозначение англ: GOST 16632-80
Статус:действует
Название рус.:Пуансоны квадратные быстросменные. Конструкция и размеры
Название англ.:Quick-changing square punches. Construction and dimensions
Дата добавления в базу:01.09.2013
Дата актуализации:05.05.2017
Дата введения:01.01.1981
Утверждён:04.03.1980 Госстандарт СССР (USSR Gosstandart 1008)
Издан: Издательство стандартов (1980 г. )
Стандартинформ (2006 г. )
Расположен в:Техническая документация Электроэнергия МАШИНОСТРОЕНИЕ Оборудование для бесстружечной обработки Ковочное оборудование. Прессы. Ножницы Экология МАШИНОСТРОЕНИЕ Оборудование для бесстружечной обработки Ковочное оборудование. Прессы. Ножницы
Заменяет собой:
  • ГОСТ 16632-71 «Пуансоны квадратные быстросменные. Конструкция и размеры»
ГОСТ 16632-80ГОСТ 16632-80ГОСТ 16632-80ГОСТ 16632-80ГОСТ 16632-80ГОСТ 16632-80ГОСТ 16632-80ГОСТ 16632-80

© 2013 Ёшкин Кот :-) Карта сайта