Информационная система
«Ёшкин Кот»

Скачать базу одним архивом
Скачать обновления
История создания базы
Карта сайта

Скачать ГОСТ 7387-82 Наконечники кабельные из алюминиевого сплава для оконцевания алюминиевых жил проводов и кабелей сваркой. Конструкция и размеры

Дата актуализации: 10.08.2017

ГОСТ 7387-82

Наконечники кабельные из алюминиевого сплава для оконцевания алюминиевых жил проводов и кабелей сваркой. Конструкция и размеры

Обозначение: ГОСТ 7387-82
Обозначение англ: GOST 7387-82
Статус:взамен
Название рус.:Наконечники кабельные из алюминиевого сплава для оконцевания алюминиевых жил проводов и кабелей сваркой. Конструкция и размеры
Название англ.:Aluminium alloy cable shoes for tipping of aluminium wire conductors and cables by welding. Construction and dimensions
Дата добавления в базу:01.09.2013
Дата актуализации:05.05.2017
Дата введения:01.01.1984
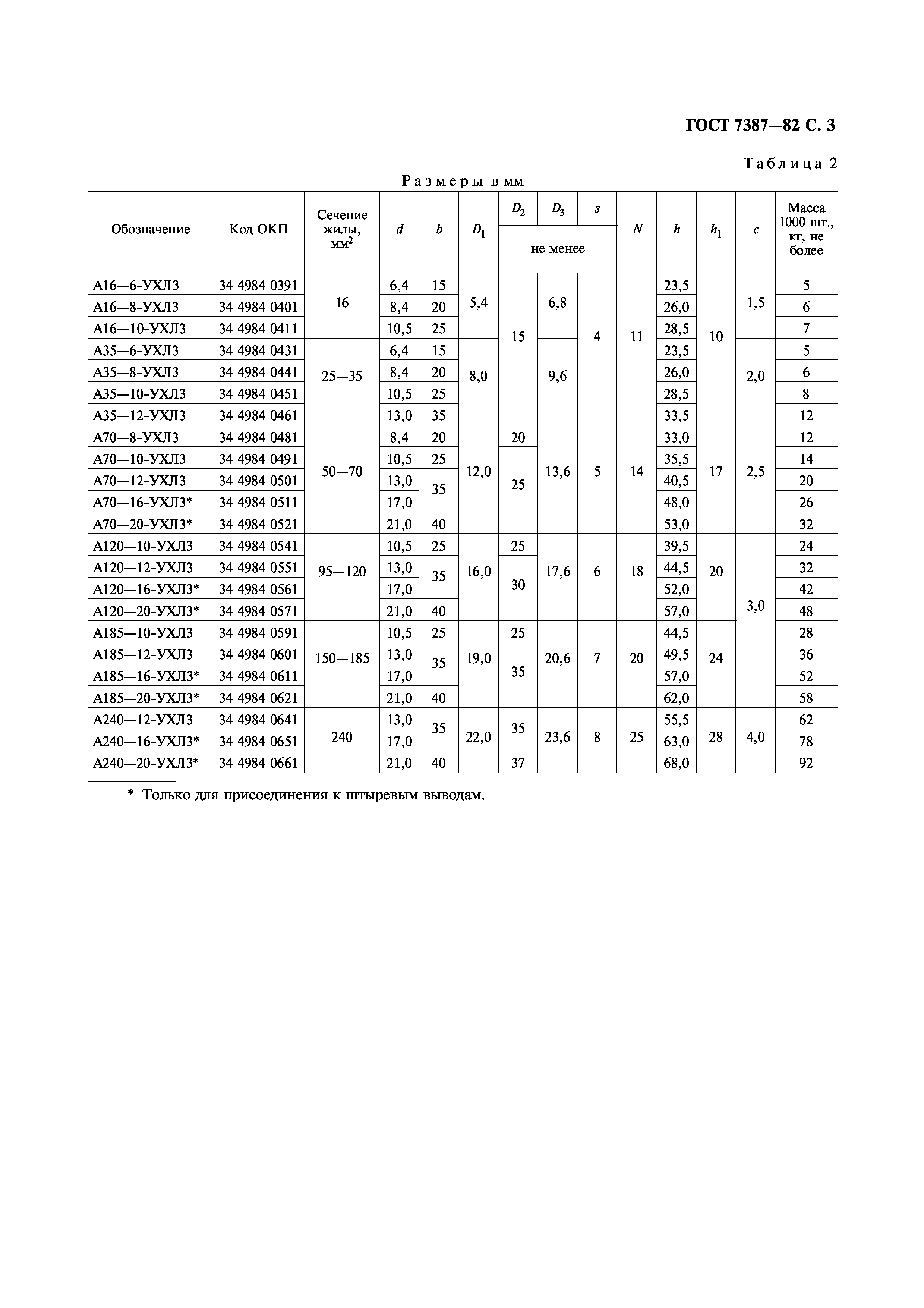
Область применения:Стандарт устанавливает конструкцию и размеры глухих кабельных наконечников из алюминиевого сплава, закрепляемых на жилах сваркой и предназначенных для оконцевания кабелей и изолированных проводов с алюминиевыми жилами сечением от 16 до 1500 мм2 на напряжение до 10 кВ, климатического исполнения УХЛЗ по ГОСТ 15150.
Разработан: Минмонтажспецстрой СССР
Утверждён:04.11.1982 Государственный комитет СССР по стандартам (USSR National Committee on Standards 4151)
Издан: ИПК Издательство стандартов (1998 г. )
ИПК Издательство стандартов (1982 г. )
Расположен в:Техническая документация Электроэнергия ЭЛЕКТРОТЕХНИКА Электрическая арматура Кабелепроводы Экология ЭЛЕКТРОТЕХНИКА Электрическая арматура Кабелепроводы Строительство Стандарты Другие государственные стандарты, применяемые в строительстве Электротехника
Список изменений:
Заменяет собой:
  • ГОСТ 7387-77 «Наконечники кабельные из алюминиевого сплава для оконцевания алюминиевых жил проводов и кабелей сваркой. Технические условия»
Нормативные ссылки:
ГОСТ 7387-82ГОСТ 7387-82ГОСТ 7387-82ГОСТ 7387-82ГОСТ 7387-82ГОСТ 7387-82ГОСТ 7387-82ГОСТ 7387-82ГОСТ 7387-82ГОСТ 7387-82ГОСТ 7387-82ГОСТ 7387-82ГОСТ 7387-82ГОСТ 7387-82ГОСТ 7387-82ГОСТ 7387-82ГОСТ 7387-82ГОСТ 7387-82ГОСТ 7387-82ГОСТ 7387-82ГОСТ 7387-82ГОСТ 7387-82

Текстовое изменение № 1 от 01.07.1995

№ 1

© 2013 Ёшкин Кот :-) Карта сайта