Скачать Пособие к СНиП 2.10.05-85 Пособие по проектированию предприятий, зданий и сооружений по хранению и переработке зернаДата актуализации: 10.08.2017 Пособие к СНиП 2.10.05-85
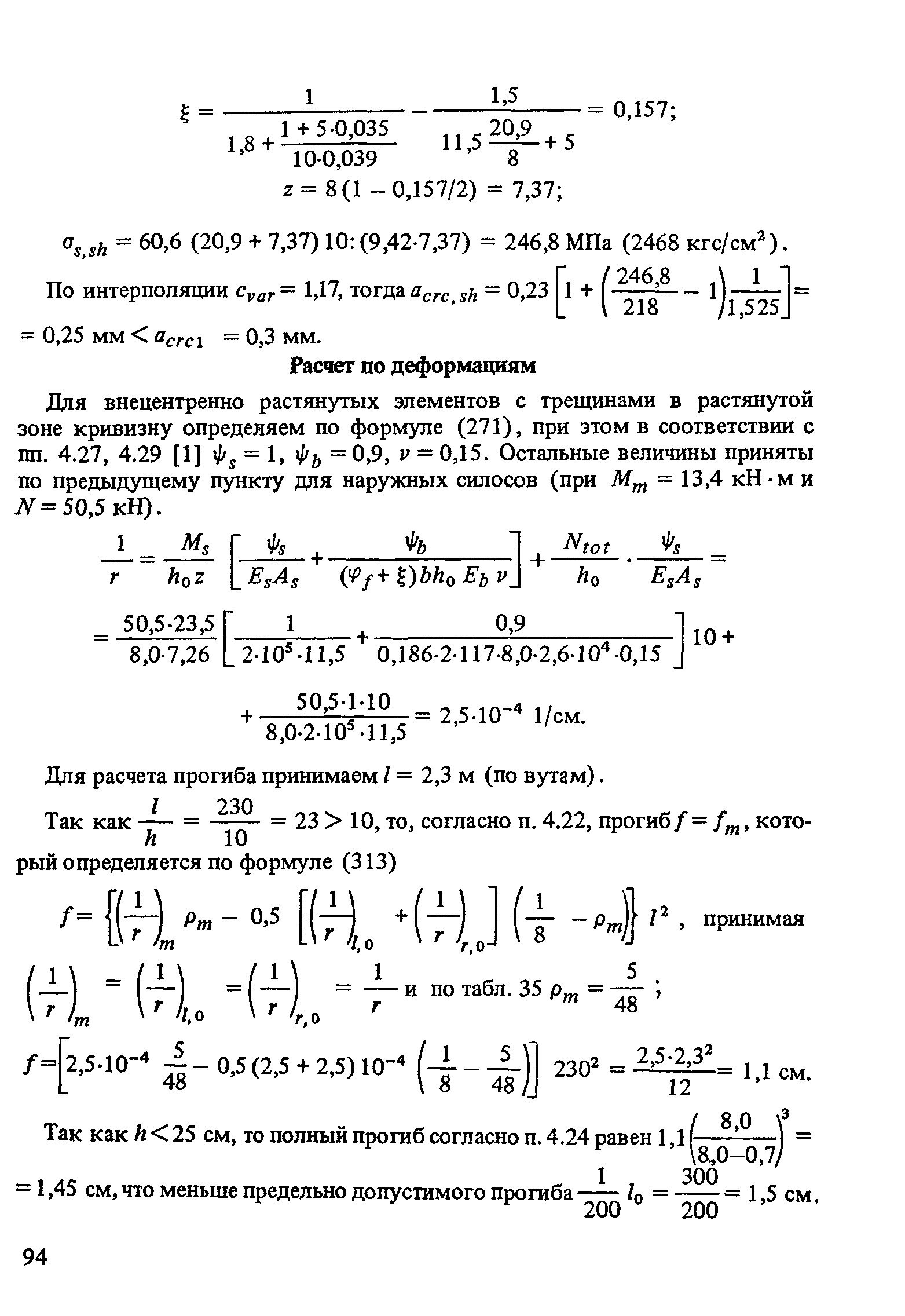
Пособие по проектированию предприятий, зданий и сооружений по хранению и переработке зернаОбозначение: | Пособие к СНиП 2.10.05-85 | Обозначение англ: | SNIP Handbook 2.10.05-85 | Статус: | действует | Название рус.: | Пособие по проектированию предприятий, зданий и сооружений по хранению и переработке зерна | Название англ.: | Design Manual for Facilities, Buildings, and Structures for Grain Storage and Processing | Дата добавления в базу: | 01.09.2013 | Дата актуализации: | 05.05.2017 | Область применения: | В Пособии приведены общие положения по проектированию элеваторов, зерноскладов, мельниц, комбикормовых заводов и других зданий и сооружений по хранению и переработке зерна; по проектированию генеральных планов, объемно-планировочным и конструктивным решениям, нагрузкам и воздействиям; расчету конструкций, в том числе силосов; даны примеры расчета отдельных конструкций. | Оглавление: | Предисловие 1 Общие положения 2 Генеральные планы 3 Объемно-планировочные и конструктивные решения Производственные здания Силосы и силосные корпуса Особенности конструирования стен силосов Стены из сборного железобетона Стены из монолитного железобетона Стены из стали Днище силосов Колонны подсилосного этажа Надсилосные покрытия, помещения Фундаменты Требования к технологическому проектированию Складские здания Прочие производственные и подсобно-вспомогательные здания и сооружения 4 Нагрузки и воздействия 5 Расчет конструкций Стены железобетонных силосов Стены стальных силосов Воронки и днища силосов Колонны подсилосных этажей Основания и фундаменты Склады Приложение1 Перечень категорий производств по взрывной, взрывопожарной и пожарной опасности для предприятий Министерства заготовок СССР Приложение 2 Основные требования по режиму первичной загрузки-разгрузки силосных корпусов Приложение 3 Допустимые отклонения от проектных размеров стен силосов Приложение 4 Основные характеристики сыпучих материалов Приложение 5 Определение объема сыпучих материалов в силосах Приложение 6 Основные буквенные обозначения Приложение 7 Значение коэффициента А1 Приложение 8 Значения коэффициентов повышения давления и условий работы в расчетах конструкций плиты, днища, балок и воронок силоса Приложение 9 Определение давления зерна на стены зерноскладов Приложение 10 Рекомендации по расчету стен квадратных силосов из объемных элементов Приложение 11 Разряды зрительных работ Приложение 12 Основные требования к инженерно-геологическим изысканиям для строительства элеваторных сооружений Приложение 13 Примеры расчетов Пример 1 Расчет стен квадратных силосов из объемных, плоских и угловых железобетонных сборных элементов Пример 2 Расчет стен силосов из предварительно напряженных сборных элементов Пример 3 Расчет стен силосов диаметром 6 м из монолитного железобетона Пример 4 Расчет стен силосов из сборных преднапряженных элементов диаметром 6 м Пример 5 Расчет круглого стального силоса диаметром 18 м Пример 6 Расчет круглого стального силоса диаметром 18 м, подкрепленного ребрами жесткости Пример 7 Расчет фундаментной плиты силосного корпуса с силосами диаметром 6 м Список литературы | Разработан: | НИИЖБ Госстроя СССР ЦНИИпромзернопроект
| Утверждён: | 30.09.1985 ЦНИИпромзернопроект (TsNIIpromzernoproject 496)
| Издан: | ЦИТП Госстроя СССР (CITP, Gosstroy (USSR) 1986 г. ) ЦИТП Госстроя СССР (CITP, Gosstroy (USSR) 1989 г. )
| Расположен в: |
| Нормативные ссылки: | |
                                                                                                                                                
|