Скачать Серия 1.231-5 Выпуск 0. Панели перегородок для каркасно-панельных зданий с высотой этажей 2,8; 3,0; 3,3; 3,6 и 4,2 м. Указания по изготовлению и применению панелей перегородокДата актуализации: 10.08.2017 Серия 1.231-5
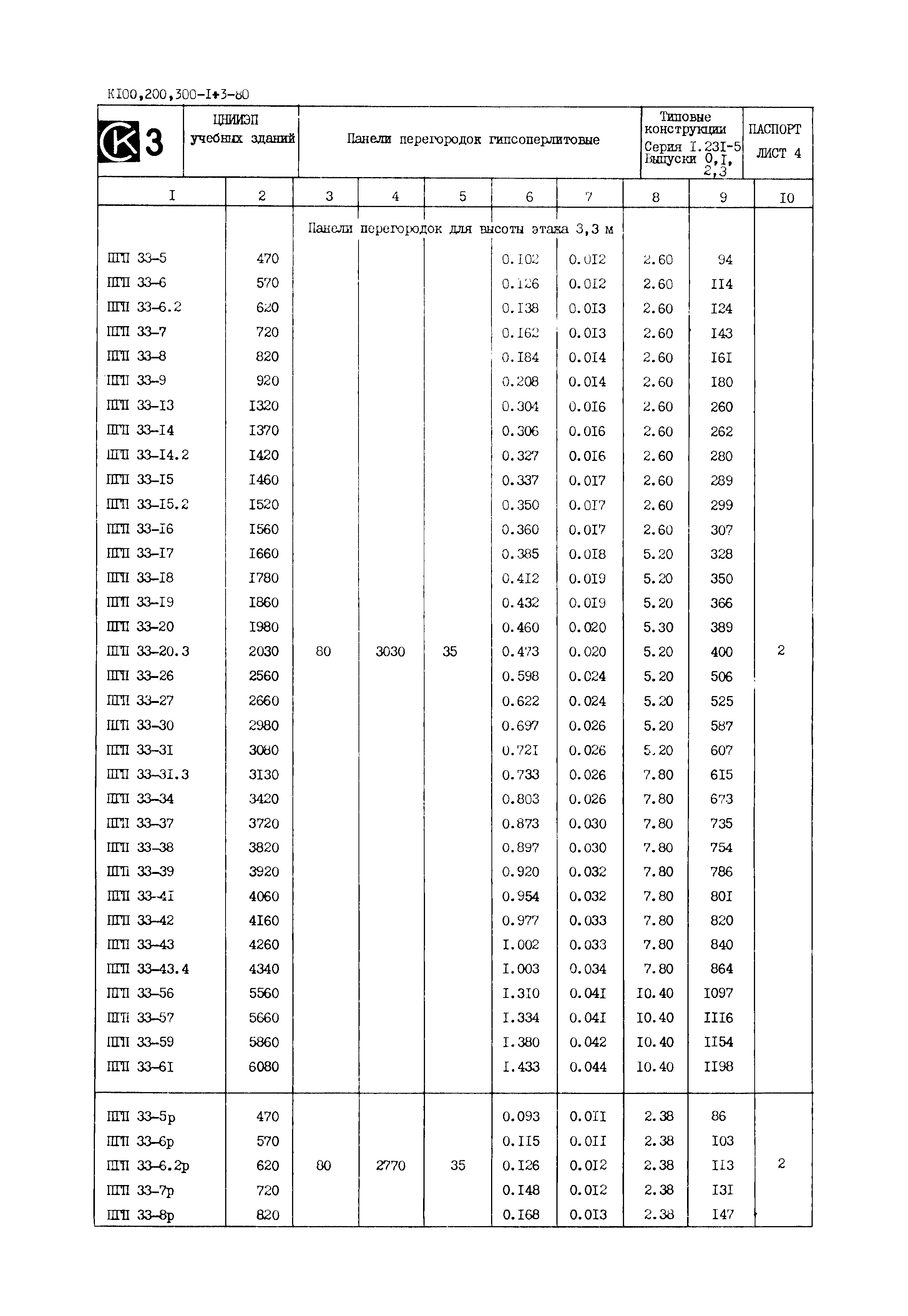
Выпуск 0. Панели перегородок для каркасно-панельных зданий с высотой этажей 2,8; 3,0; 3,3; 3,6 и 4,2 м. Указания по изготовлению и применению панелей перегородокОбозначение: | Серия 1.231-5 | Обозначение англ: | Series 1.231-5 | Статус: | не определен законодательством | Название рус.: | Выпуск 0. Панели перегородок для каркасно-панельных зданий с высотой этажей 2,8; 3,0; 3,3; 3,6 и 4,2 м. Указания по изготовлению и применению панелей перегородок | Дата добавления в базу: | 01.09.2013 | Дата актуализации: | 05.05.2017 | Дата введения: | 01.08.1979 | Область применения: | Гипсоперлитовые перегородки предназначены для помещений с относительной влажностью воздуха до 60 % каркасно-панельных зданий серии ИИ-04, возводимых в обычных условиях строительства | Оглавление: | Содержание Пояснительная записка Номенклатра изделий при высоте этажа 2,8 м Номенклатра изделий при высоте этажа 3,0 м Номенклатра изделий при высоте этажа 3,3 м Номенклатра изделий при высоте этажа 3,6 м Номенклатра изделий при высоте этажа 4,2 м Петли П1/ П33 Узлы 1/ 5 Узлы 6, 7 Узел 8. Сечения А-А, Б-Б, В-В Узлы 9/ 11 | Расположен в: |
|
           
|