Информационная система
«Ёшкин Кот»

Скачать базу одним архивом
Скачать обновления
История создания базы
Карта сайта

Скачать РД 31.46.07-87 Грейферы канатные для навалочных грузов. Типовые расчеты на прочность. Методика

Дата актуализации: 10.08.2017

РД 31.46.07-87

Грейферы канатные для навалочных грузов. Типовые расчеты на прочность. Методика

Обозначение: РД 31.46.07-87
Обозначение англ: RD 31.46.07-87
Статус:действует
Название рус.:Грейферы канатные для навалочных грузов. Типовые расчеты на прочность. Методика
Дата добавления в базу:01.09.2013
Дата актуализации:05.05.2017
Дата введения:01.01.1988
Область применения:Руководящий документ распространяется на двух- и четырехканатные грейферы общего назначения, применяемые в качестве грузозахватных органов для навалочных грузов к грузоподъемным кранам всех типов и перегружателям морских портов и других предприятий Минморфлота: длиннозвеньевые (штанговые); клещевые (ножничные); подгребающие (штивующие); одноканатные. Документ устанавливает основные положения расчета на прочность перечисленных типов грейферов и является обязательным документом для организаций в предприятий Минморфлота, выполняющих работы по разработке новых и модернизации существующих, в том числе импортных, грейферов.
Оглавление:1. Основные положения
   1.1. Общие требования. Параметры и основные размеры как исходные данные расчета на прочность
   1 2. Типы канатных грейферов, их конструктивные и эксплуатационные особенности, влияющие на выбор расчетной схемы
2. Нагрузки и расчетные случаи
   2.1. Основные требования к расчету
   2.2. Определение нагрузок в элементах грейферов при зачерпывании груза и отрыве от штабеля
   2 3. Определение текущих значений замыкающих усилий при зачерпывании груза грейфером
   2.4. Эквивалентные значения усилий при замыкании грейфера
   2.5. Оценка динамической прочности металлоконструкций канатных грейферов
3. Расчет на прочность систем и элементов грейфера
   3.1. Расчет допускаемых напряжений при оценке прочности конструкций
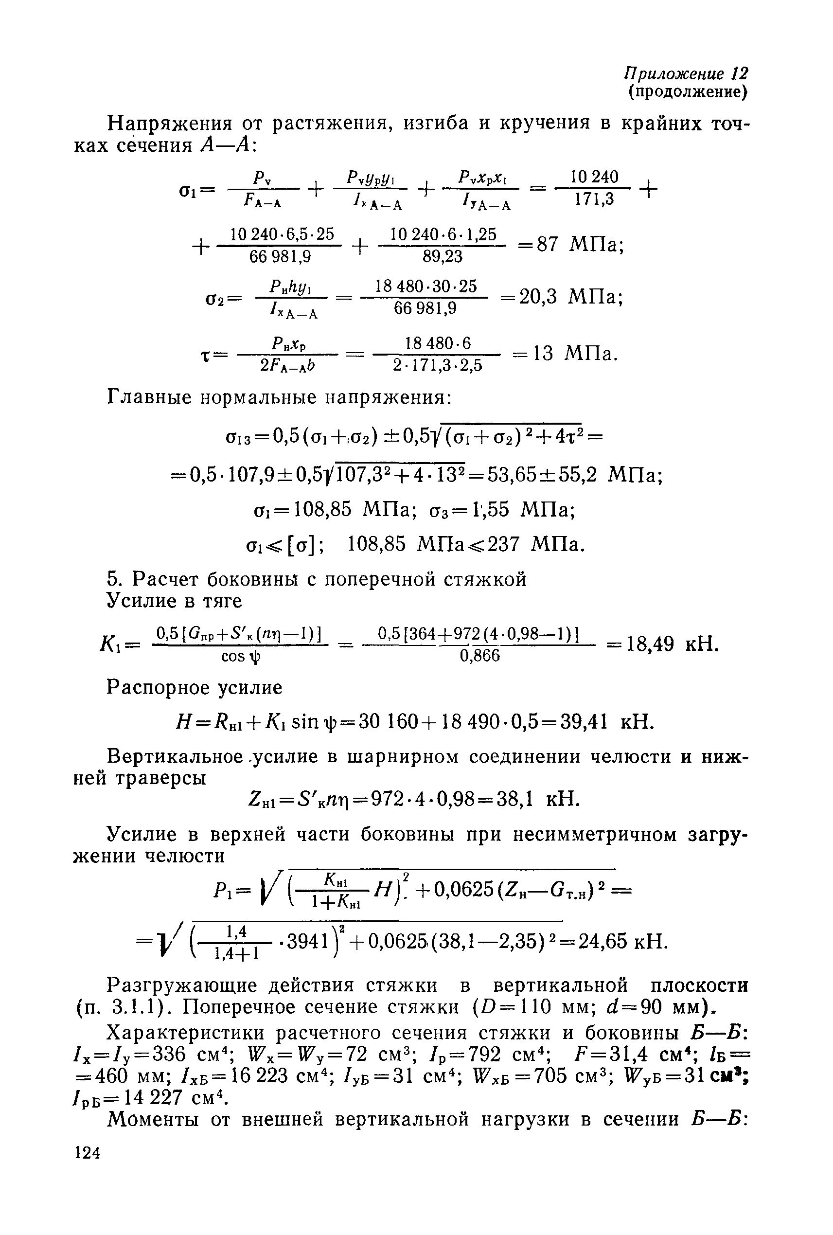
   3.2. Расчет боковины без поперечной стяжки
   3.3. Расчет боковины с поперечной стяжкой
   3.4. Расчет системы "днище - режущий пояс"
   3.5. Расчет системы "днище - пояс жесткости"
   3.6. Проверка прочности ножа для случая "силового внедрения"
   3.7. Расчет унифицированных деталей и узлов
   3.8. Расчет деталей и узлов клещевого грейфера
4. Материалы металлоконструкций и соединений канатных грейферов
   4.1. Металлы
   4.2. Неметаллические материалы
Приложение 1 (обязательное). Основные термины и обозначения величин, принятые в РД
Приложение 2 (обязательное). Выбор параметров грейферов
Приложение 3 (обязательное). Определение допускаемых напряжений для оценки воздействия ударных нагрузок
Приложение 4 (рекомендуемое). Инструкция пользователю пакетом прикладных программ в ВК LIRA
Приложение 5 (обязательное). Выбор расчетной схемы в зависимости от характеристик груза
Приложение 6 (справочное). Изменение силы сопротивления на режущей кромке в зависимости от смерзаемости груза
Приложение 7 (обязательное). Определение реактивного изгибающего момента Мх, и перерезывающего усилия Qх на нож
Приложение 8 (справочное). Инструкция пользователю по обслуживанию программы "IAW - ОИИМФ" расчета на прочность систем "днище-режущий пояс" и "днище-пояс жесткости"
Приложение 9 (справочное). Определение демпфирующих свойств сталей при пониженных климатических температурах
Приложение 10 (справочное). Термопластические пластмассы, рекомендуемые для изготовления подшипников и блоков
Приложение 11 (обязательное). Список литературы, необходимый при пользовании РД
Приложение 12 (справочное). Примеры расчета
   Пример 1. Расчет штангового грейфера
   Пример 2. Расчет клещевого грейфера
   Пример 3. Заполнение типовых бланков исходных данных
Разработан: Южный научно-исследовательский и проектно-конструкторский институт морского флота, Минморфлота СССР
Одесский институт инженеров морского флота (ОИИМФ)
Утверждён:13.04.1987 Главфлот Минморфлота СССР (Glavflot, USSR Minmorflot ГФ-16/3-421)
Издан: В/О Мортехинформреклама (1987 г. )
Расположен в:Техническая документация Строительство Нормативные документы Отраслевые и ведомственные нормативно-методические документы Проектирование и строительство морских сооружений
Нормативные ссылки:
РД 31.46.07-87РД 31.46.07-87РД 31.46.07-87РД 31.46.07-87РД 31.46.07-87РД 31.46.07-87РД 31.46.07-87РД 31.46.07-87РД 31.46.07-87РД 31.46.07-87РД 31.46.07-87РД 31.46.07-87РД 31.46.07-87РД 31.46.07-87РД 31.46.07-87РД 31.46.07-87РД 31.46.07-87РД 31.46.07-87РД 31.46.07-87РД 31.46.07-87РД 31.46.07-87РД 31.46.07-87РД 31.46.07-87РД 31.46.07-87РД 31.46.07-87РД 31.46.07-87РД 31.46.07-87РД 31.46.07-87РД 31.46.07-87РД 31.46.07-87РД 31.46.07-87РД 31.46.07-87РД 31.46.07-87РД 31.46.07-87РД 31.46.07-87РД 31.46.07-87РД 31.46.07-87РД 31.46.07-87РД 31.46.07-87РД 31.46.07-87РД 31.46.07-87РД 31.46.07-87РД 31.46.07-87РД 31.46.07-87РД 31.46.07-87РД 31.46.07-87РД 31.46.07-87РД 31.46.07-87РД 31.46.07-87РД 31.46.07-87РД 31.46.07-87РД 31.46.07-87РД 31.46.07-87РД 31.46.07-87РД 31.46.07-87РД 31.46.07-87РД 31.46.07-87РД 31.46.07-87РД 31.46.07-87РД 31.46.07-87РД 31.46.07-87РД 31.46.07-87РД 31.46.07-87РД 31.46.07-87РД 31.46.07-87РД 31.46.07-87РД 31.46.07-87РД 31.46.07-87РД 31.46.07-87РД 31.46.07-87РД 31.46.07-87РД 31.46.07-87РД 31.46.07-87РД 31.46.07-87РД 31.46.07-87РД 31.46.07-87РД 31.46.07-87РД 31.46.07-87РД 31.46.07-87РД 31.46.07-87РД 31.46.07-87РД 31.46.07-87РД 31.46.07-87РД 31.46.07-87РД 31.46.07-87РД 31.46.07-87РД 31.46.07-87РД 31.46.07-87РД 31.46.07-87РД 31.46.07-87РД 31.46.07-87РД 31.46.07-87РД 31.46.07-87РД 31.46.07-87РД 31.46.07-87РД 31.46.07-87РД 31.46.07-87РД 31.46.07-87РД 31.46.07-87РД 31.46.07-87РД 31.46.07-87РД 31.46.07-87РД 31.46.07-87РД 31.46.07-87РД 31.46.07-87РД 31.46.07-87РД 31.46.07-87РД 31.46.07-87РД 31.46.07-87РД 31.46.07-87РД 31.46.07-87РД 31.46.07-87РД 31.46.07-87РД 31.46.07-87РД 31.46.07-87РД 31.46.07-87РД 31.46.07-87РД 31.46.07-87РД 31.46.07-87РД 31.46.07-87РД 31.46.07-87РД 31.46.07-87РД 31.46.07-87РД 31.46.07-87РД 31.46.07-87РД 31.46.07-87РД 31.46.07-87РД 31.46.07-87РД 31.46.07-87РД 31.46.07-87РД 31.46.07-87РД 31.46.07-87РД 31.46.07-87РД 31.46.07-87РД 31.46.07-87РД 31.46.07-87РД 31.46.07-87РД 31.46.07-87РД 31.46.07-87РД 31.46.07-87РД 31.46.07-87РД 31.46.07-87

© 2013 Ёшкин Кот :-) Карта сайта