Скачать ТСЦ Краснодарского края 81-01-2001 Территориальный сборник средних сметных цен на материалы, изделия и конструкции, применяемые в строительствеДата актуализации: 10.08.2017 ТСЦ Краснодарского края 81-01-2001
Территориальный сборник средних сметных цен на материалы, изделия и конструкции, применяемые в строительствеОбозначение: | ТСЦ Краснодарского края 81-01-2001 | Обозначение англ: | 81-01-2001 | Статус: | действует | Название рус.: | Территориальный сборник средних сметных цен на материалы, изделия и конструкции, применяемые в строительстве | Дата добавления в базу: | 01.09.2013 | Дата актуализации: | 05.05.2017 | Дата введения: | 01.09.2003 | Утверждён: | 01.09.2003 Администрация Краснодарского края
| Расположен в: |
| Список изменений: | № от 01.09.2003 ((выпуск 1) Краснодарский краевой центр ценообразования в строительстве "Кубаньстройцена")
| Нормативные ссылки: | |
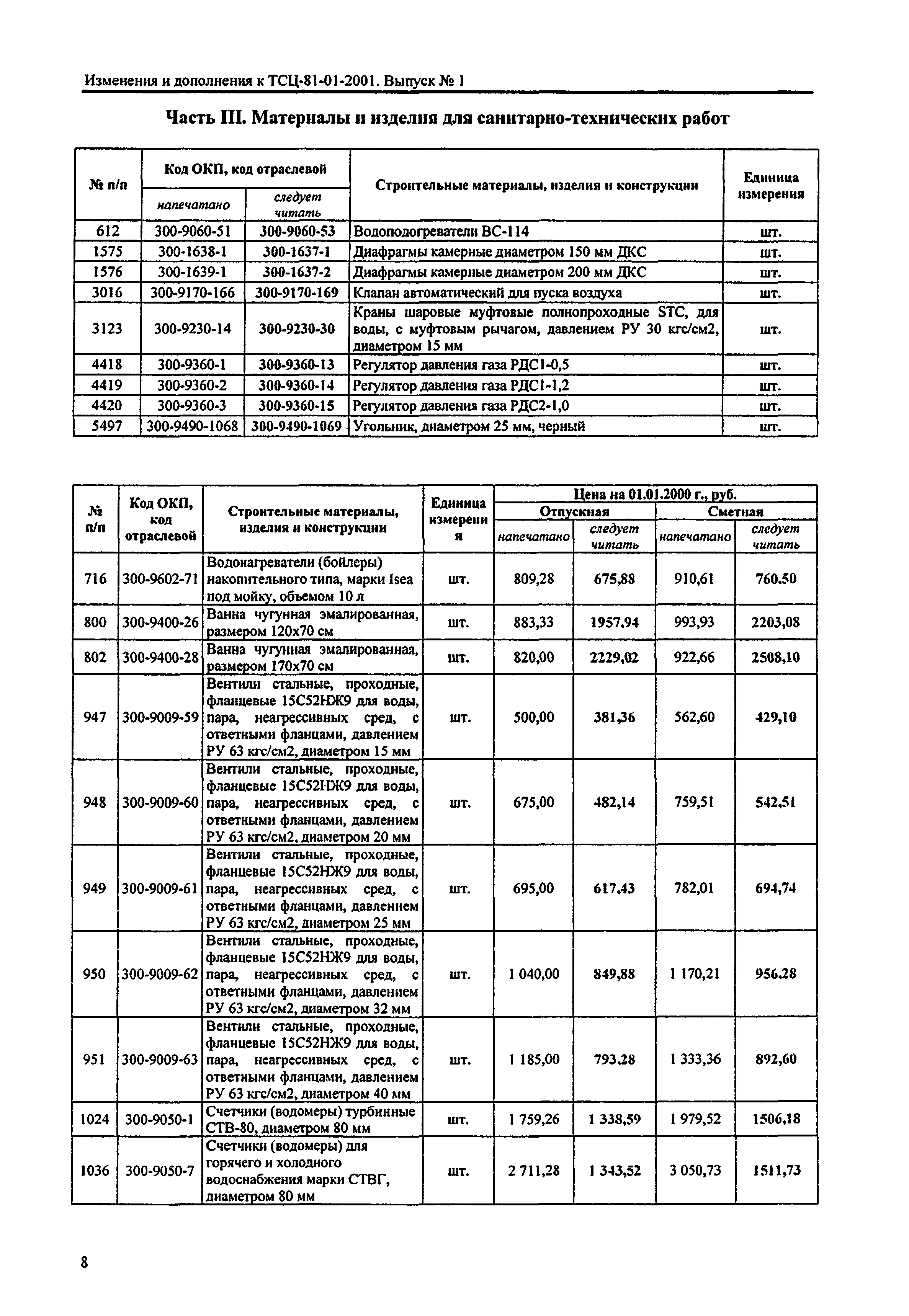
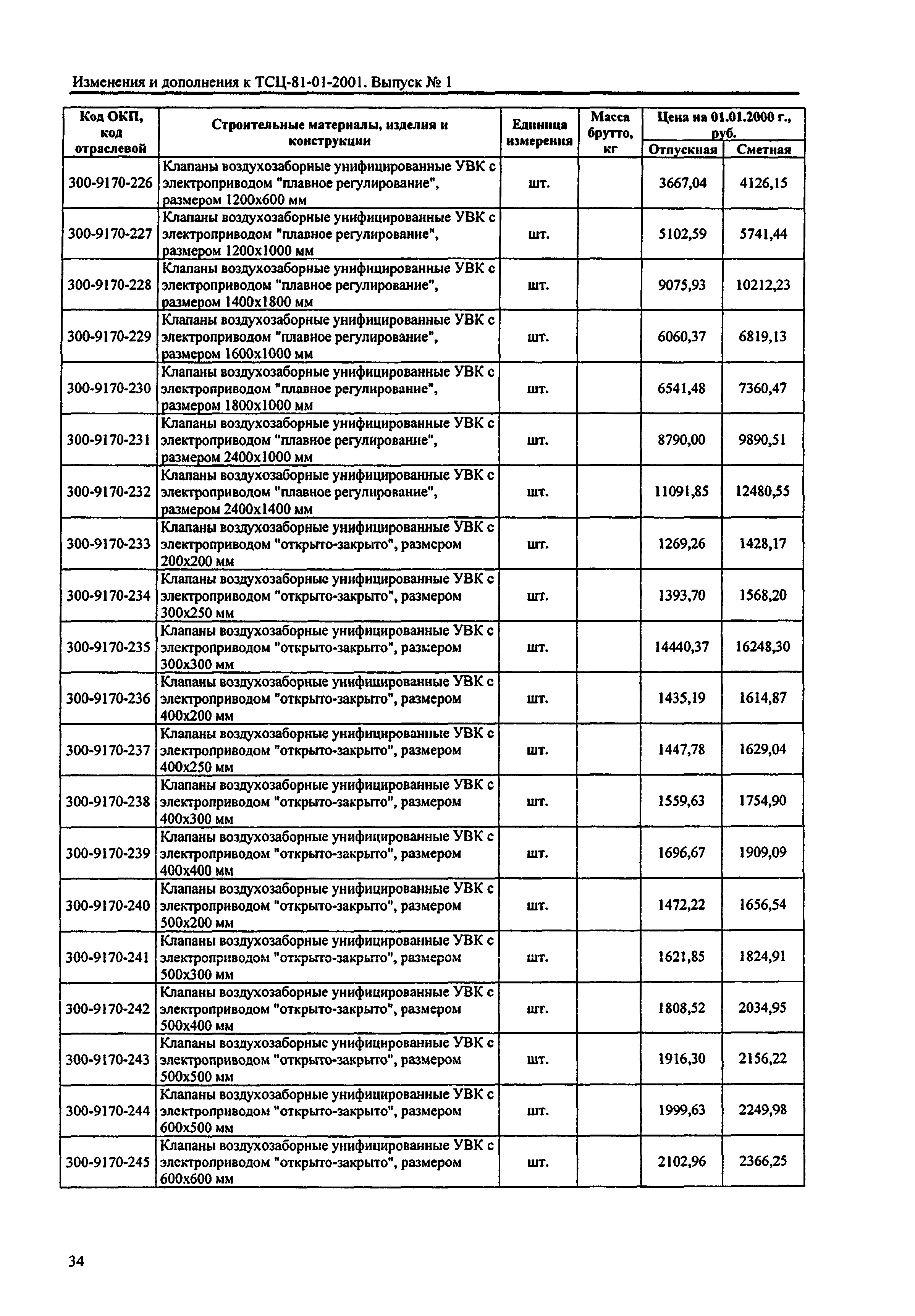
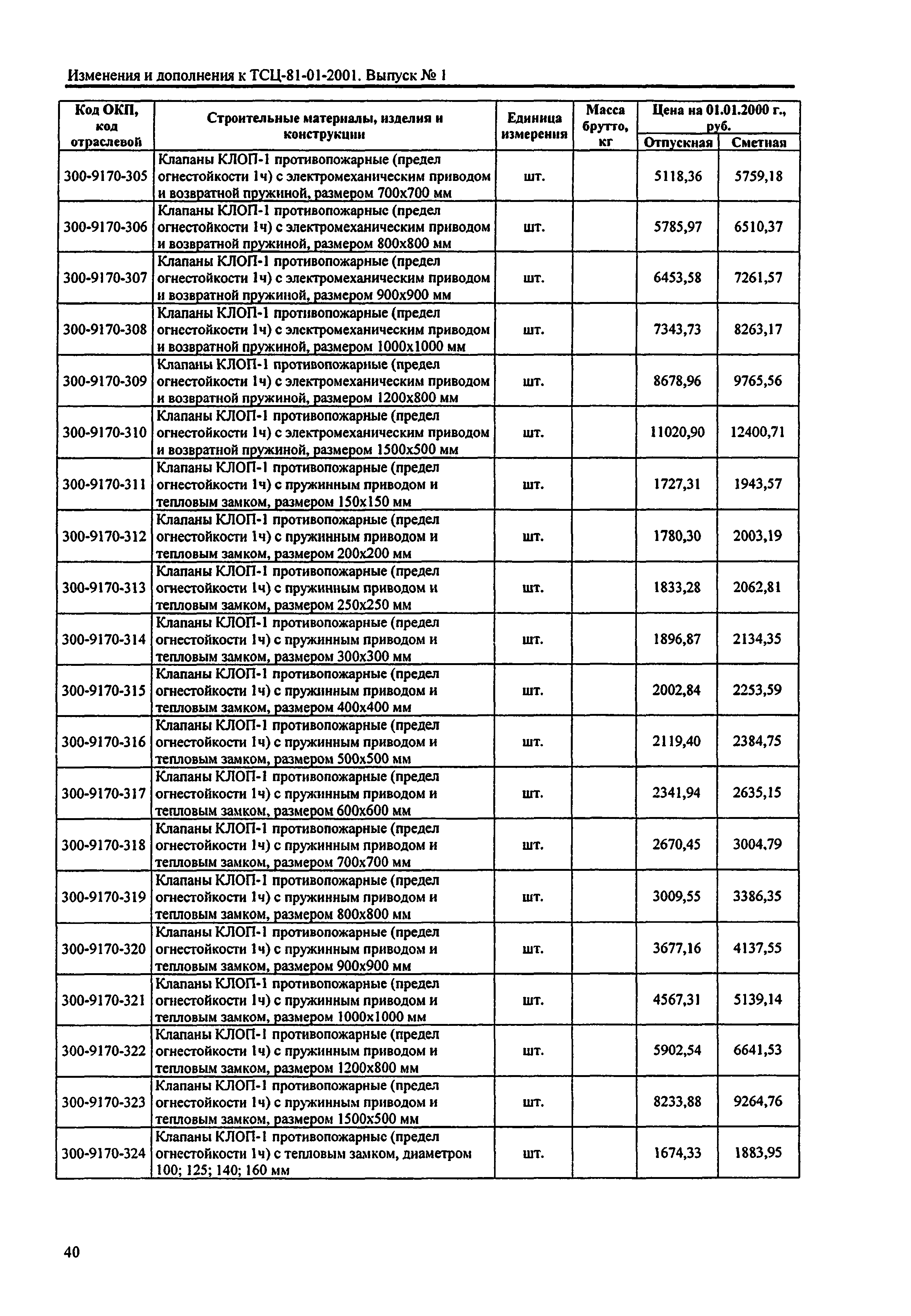
Текстовое изменение № от 01.09.2003
                                                                   
|