| ||||||||||||||||||||||||||||||||||
Скачать ГОСТ Р 52565-2006 Выключатели переменного тока на напряжения от 3 до 750 кВ. Общие технические условияДата актуализации: 10.08.2017
|
| Обозначение: | ГОСТ Р 52565-2006 |
| Обозначение англ: | GOST R 52565-2006 |
| Статус: | действует |
| Название рус.: | Выключатели переменного тока на напряжения от 3 до 750 кВ. Общие технические условия |
| Название англ.: | Alternating-current circuit-breakers for voltages from 3 to 750 kV. General specifications |
| Дата добавления в базу: | 01.09.2013 |
| Дата актуализации: | 05.05.2017 |
| Дата введения: | 01.04.2007 |
| Область применения: | Стандарт распространяется на выключатели (включая их приводы), предназначенные для коммутации электрических цепей при нормальных и аварийных режимах в сетях трехфазного переменного тока частотой 50 Гц номинальным напряжением от 3 до 750 кВ включительно. Стандарт не распространяется на выключатели специальных исполнений, предназначенные для: - работы в опасных в отношении пожара или взрыва помещениях (например в газовых шахтах); - частых коммутационных операций (например для электротермических установок); - передвижных электроустановок (например для электровозов, экскаваторов); - судовых энергетических установок. Стандарт не устанавливает специальных требований к выключателям, предназначенным для работы в условиях повышенной сейсмичности. Сведения о сейсмостойкости таких выключателей следует приводить в технических условиях на выключатели конкретных типов (ТУ) и эксплуатационных документах. |
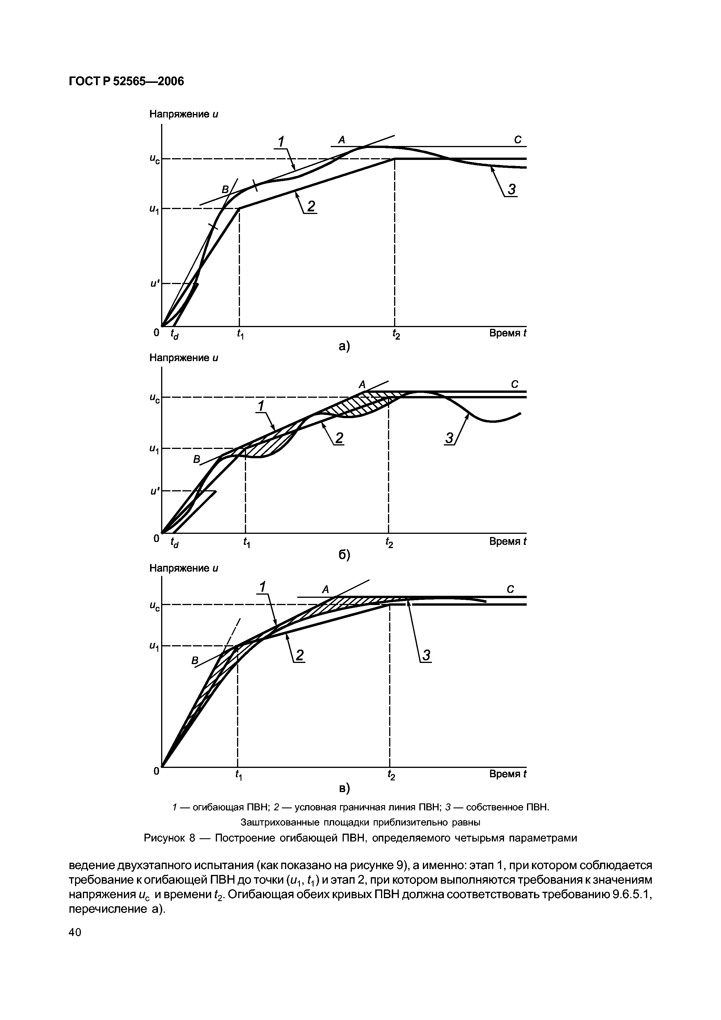
| Оглавление: | 1 Область применения 2 Нормативные ссылки 3 Термины, определения, обозначения и сокращения 4 Классификация 5 Основные (номинальные) параметры 6 Технические требования 6.1 Общие требования 6.2 Требования к электрической прочности изоляции 6.3 Требования к нагреву 6.4 Требования к механической работоспособности 6.5 Требования к стойкости при сквозных токах короткого замыкания 6.6 Требования к коммутационной способности при коротких замыканиях 6.7 Требования к коммутационной способности в условиях рассогласования фаз 6.8 Требования к коммутационной способности при отключении и включении емкостных токов ненагруженных воздушных линий и батарей конденсаторов 6.9 Требования к коммутационной способности при отключении и включении шунтирующего реактора 6.10 Требования к напряжению радиопомех 6.11 Требования к электромагнитной совместимости 6.12 Требования к конструкции 6.13 Требования к надежности 6.14 Комплектность 6.15 Маркировка 6.16 Упаковка 7 Требования безопасности и охраны окружающей среды (экологичности) 8 Правила приемки 8.1 Общие требования к правилам приемки 8.2 Приемосдаточные испытания 8.3 Квалификационные испытания 8.4 Периодические испытания 8.5 Типовые испытания 9 Методы испытаний 9.1 Проверка на соответствие требованиям сборочного чертежа 9.2 Испытания на механическую работоспособность 9.3 Испытание электрической прочности изоляции 9.4 Испытание на нагрев 9.5 Испытание на стойкость при сквозных токах короткого замыкания 9.6 Испытание на коммутационную способность при коротких замыканиях и в условиях рассогласования фаз 9.7 Испытание на коммутационную способность при емкостных токах 9.8 Испытание на отключение тока шунтирующего реактора 9.9 Испытания на радиопомехи 9.10 Испытания на устойчивость к климатическим внешним воздействующим факторам 9.11 Нормальные значения климатических факторов внешней среды при испытаниях 10 Транспортирование и хранение 11 Указания по эксплуатации 12 Гарантии изготовителя Приложение А Термины и определения Приложение Б Обозначения и сокращения Приложение В Перечень технических данных, которые следует указывать в технических условиях на выключатели, эксплуатационных и тендерных документах Приложение Г Структура условного обозначения выключателя и привода Приложение Д Нормированные характеристики ПВН для генераторных выключателей Приложение Е Методика определения коэффициента мощности испытательной цепи Приложение Ж Методика определения пика собственного ПВН с учетом влияния пика гашения Приложение И Примеры схем формирования кривых ПВН |
| Разработан: | ОАО ВНИИЭ ГУП ВЭИ |
| Утверждён: | 23.08.2006 Федеральное агентство по техническому регулированию и метрологии (170-ст) |
| Издан: | Стандартинформ (2007 г. ) |
| Расположен в: | |
| Нормативные ссылки: |
|


























































































