Обозначение: | Методические рекомендации |
Обозначение англ: | Recommended Practice |
Статус: | действует |
Название рус.: | Технологическое обеспечение качества строительства асфальтобетонных покрытий |
Дата добавления в базу: | 01.09.2013 |
Дата актуализации: | 05.05.2017 |
Дата введения: | 15.05.2004 |
Область применения: | Методические рекомендации обобщают отечественную и зарубежную теорию и практику обеспечения качества строительства асфальтобетонных покрытий в соответствии с требованиями нормативных и рекомендательных документов РФ. |
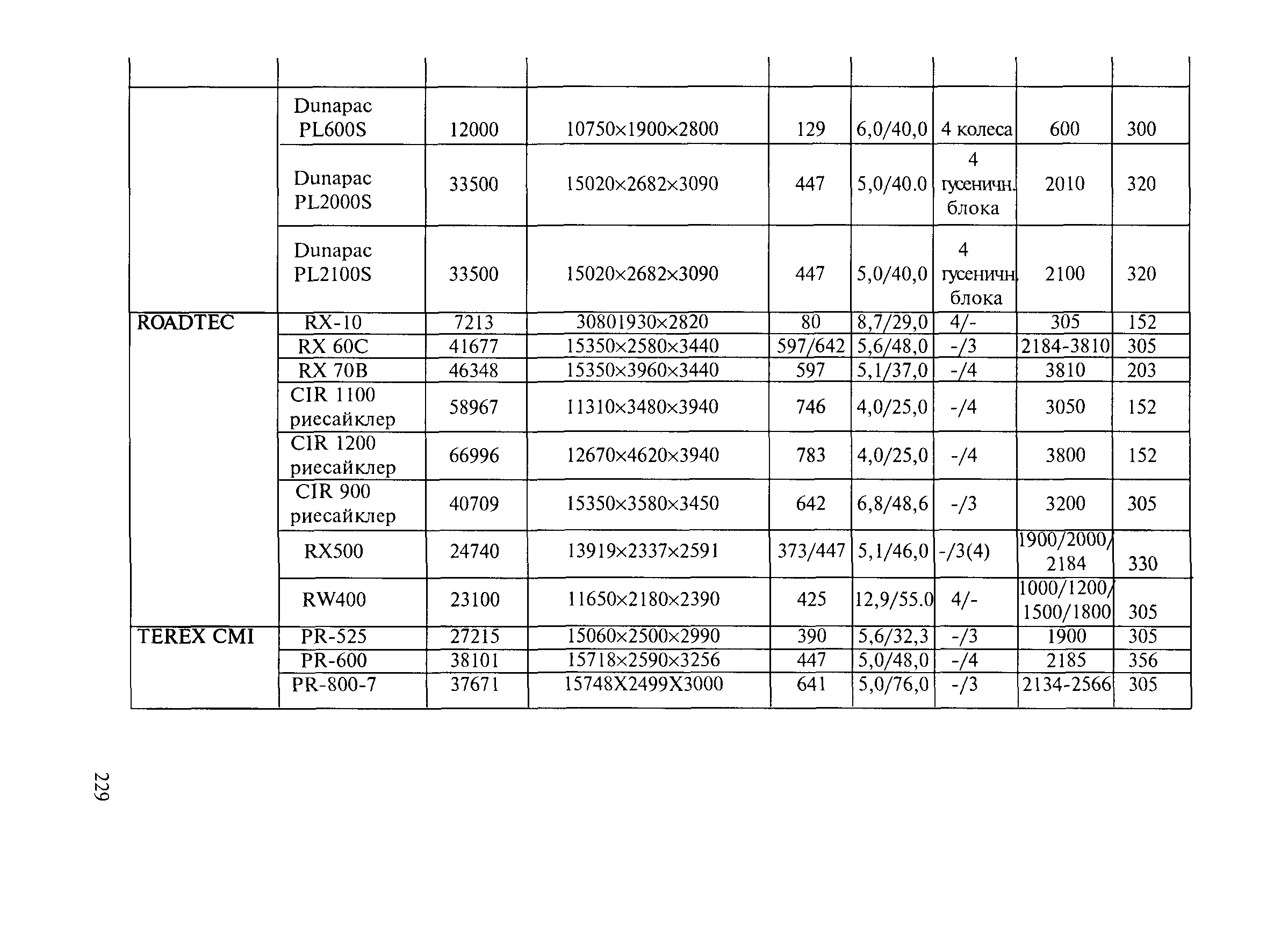
Оглавление: | Предисловие 1 Основные исходные положения по обеспечению качества строительства асфальтобетонных покрытий 2 Подготовительный период технологического процесса строительства асфальтобетонных покрытий 3 Обеспечение качества приготовления и хранения в накопительном бункере асфальтобетонных смесей 4 Обеспечение качества транспортирования асфальтобетонных смесей 5 Обеспечение качества укладки и уплотнения асфальтобетонных смесей 6 Особенности обеспечения качества строительства асфальтобетонных покрытий в холодное время 7 Технологические дефекты асфальтобетонных слоев: описание, причины и способы предупреждения 8 Особые разновидности асфальтобетонов Приложение 1. Классификатор основных дефектов при контроле качества строительства асфальтобетонных покрытий Приложение 2. Нормативные требования к асфальтобетонным покрытиям и искусственным основаниям аэродромов. Методы контроля Приложение 3. Технологическая карта: приготовление горячей асфальтобетонной смеси с использованием отсевов дробления магматических горных пород и поверхностно-активных веществ Приложение 4. Технологическая карта: строительство асфальтобетонного покрытия с применением полимерно-битумного вяжущего Приложение 5. Методика оценки показателя трещиностойкости асфальтобетона Приложение 6. Методика оценки сдвигоустойчивости асфальтобетона Приложение 7. Пример статистического регулирования качества уплотнения асфальтобетонного покрытия Приложение 8. Пример статистического приемочного контроля качества уплотнения асфальтобетонного покрытия Приложение 9. Периодичность лабораторного контроля качества компонентов асфальтобетонной смеси Приложение 10. Сравнительные данные распиливающего эффекта форсунок Приложение 11. Технические характеристики асфальтосмесительных установок Приложение 12. Технические характеристики сушильных барабанов Приложение 13. Регулировка и поверка весовых дозаторов Приложение 14. Технические характеристики строительных автомобилей-самосвалов Приложение 15. Методика расчета температурно-технологических параметров транспортных операций асфальтобетонной смеси Приложение 16. Технические характеристики машин для перегрузки асфальтобетонной смеси Приложение 17. Содержание ежесменного технического обслуживания асфальтоукладчиков и катков Приложение 18. Техническая характеристика машин для разделки трещин Приложение 19. Техническая характеристика машин для холодного фрезерования Приложение 20. Технологическая схема приготовления вспененного битума Приложение 21. Технические характеристики асфальтоукладчиков Приложение 22. Методика расчета температурно-технологических параметров уплотнения асфальтобетонных слоев Приложение 23. Технические характеристики катков Приложение 24. Ориентировочные режимы работы машинно-дорожных отрядов и параметры потока строительства асфальтобетонных покрытий в холодное время Приложение 25. Перечень нормативных и рекомендательных документов по строительству асфальтобетонных покрытий из горячих смесей Использованная литература |
Разработан: | ФГДУП Омский Союздорнии СибАДИ г. Омск
|
Утверждён: | 15.05.2004 СибАДИ г. Омск
|
Издан: | ОАО Омский дом печати (2004 г. )
|
Расположен в: |
|
Нормативные ссылки: |   ОСТ 218.010-98 «Вяжущие полимерно-битумные дорожные на основе блоксополимеров типа СБС. Технические условия»  ГОСТ 31015-2002 «Смеси асфальтобетонные и асфальтобетон щебеночно-мастичные. Технические условия» ГОСТ 11022-95 «Топливо твердое минеральное. Методы определения зольности»  Пособие к СНиП 3.06.03-85 «Пособие по приготовлению и применению битумных дорожных эмульсий» ГОСТ 11401-75 «Инструмент кузнечный для ручных и молотовых работ. Кувалды кузнечные тупоносые. Конструкция и размеры» ГОСТ 11777-74 «Трамбовки прямоугольные формовочные. Конструкция» ГОСТ 1405-83 «Ломы стальные строительные. Технические условия»  ГОСТ 26433.0-85 «Система обеспечения точности геометрических параметров в строительстве. Правила выполнения измерений. Общие положения» ГОСТ 19597-94 «Грабли садово-огородные. Технические условия» ГОСТ 21822-87 «Битумы нефтяные хрупкие. Технические условия»  ГОСТ 22688-77 «Известь строительная. Методы испытаний»  ГОСТ 8267-93 «Щебень и гравий из плотных горных пород для строительных работ. Технические условия» ГОСТ 8269-87 «Щебень из природного камня, гравий и щебень из гравия для строительных работ. Методы испытаний»  ГОСТ 8735-88 «Песок для строительных работ. Методы испытаний»  ГОСТ 8736-93 «Песок для строительных работ. Технические условия»  ГОСТ 23735-79 «Смеси песчано-гравийные для строительных работ. Технические условия»  ГОСТ 30108-94 «Материалы и изделия строительные. Определение удельной эффективной активности естественных радионуклидов»  ГОСТ 3344-83 «Щебень и песок шлаковые для дорожного строительства. Технические условия»  ГОСТ 7392-85 «Щебень из природного камня для балластного слоя железнодорожного пути. Технические условия» ГОСТ 9128-84 «Смеси асфальтобетонные дорожные, аэродромные и асфальтобетон. Технические условия» ГОСТ 12784-78 «Порошок минеральный для асфальтобетонных смесей. Методы испытаний» ГОСТ 12801-84 «Смеси асфальтобетонные дорожные и аэродромные, дегтебетонные дорожные, асфальтобетон и дегтебетон. Методы испытаний» ГОСТ 16557-78 «Порошок минеральный для асфальтобетонных смесей. Технические условия» ГОСТ 18659-81 «Эмульсии битумные дорожные. Технические условия»  ГОСТ 9416-83 «Уровни строительные. Технические условия» ГОСТ 26193-84 «Материалы из отсевов дробления изверженных пород для строительных работ. Технические условия»  ГОСТ 11501-78 «Битумы нефтяные. Метод определения глубины проникания иглы»  ГОСТ 11505-75 «Битумы нефтяные. Метод определения растяжимости»  ГОСТ 11506-73 «Битумы нефтяные. Метод определения температуры размягчения по кольцу и шару»  ГОСТ 11507-78 «Битумы нефтяные. Метод определения температуры хрупкости по Фраасу»  ГОСТ 11512-65 «Битумы нефтяные. Метод определения зольности»  ГОСТ 11955-82 «Битумы нефтяные дорожные жидкие. Технические условия»  ГОСТ 17789-72 «Битумы нефтяные. Метод определения содержания парафина»  ГОСТ 18180-72 «Битумы нефтяные. Метод определения изменения массы после прогрева»  ГОСТ 20739-75 «Битумы нефтяные. Метод определения растворимости»  ГОСТ 22245-90 «Битумы нефтяные дорожные вязкие. Технические условия»  ГОСТ 28478-90 «Вещества поверхностно-активные. Определение содержания неорганического сульфата. Титриметрический метод»  ГОСТ Р 50597-93 «Автомобильные дороги и улицы. Требования к эксплуатационному состоянию, допустимому по условиям обеспечения безопасности дорожного движения»  ГОСТ 4333-87 «Нефтепродукты. Методы определения температур вспышки и воспламенения в открытом тигле» ГОСТ 8268-82 «Гравий для строительных работ. Технические условия» ГОСТ 8736-85 «Песок для строительных работ. Технические условия»  ГОСТ 10528-90 «Нивелиры. Общие технические условия»  ГОСТ 28840-90 «Машины для испытания материалов на растяжение, сжатие и изгиб. Общие технические требования»  ГОСТ 12.1.005-88 «Система стандартов безопасности труда. Общие санитарно-гигиенические требования к воздуху рабочей зоны»  ГОСТ 12.1.007-76 «Система стандартов безопасности труда. Вредные вещества. Классификация и общие требования безопасности»  ГОСТ Р 51000.4-96 «Государственная система стандартизации Российской Федерации. Система аккредитации в Российской Федерации. Общие требования к аккредитации испытательных лабораторий» ГОСТ Р 51000.6-96 «Государственная система стандартизации Российской Федерации. Система аккредитации в Российской Федерации. Общие требования к аккредитации органов по сертификации продукции и услуг» СНиП 3.06.06-88 «Аэродромы»  ГОСТ Р 52129-2003 «Порошок минеральный для асфальтобетонных и органоминеральных смесей. Технические условия»  ГОСТ 30413-96 «Дороги автомобильные. Метод определения коэффициента сцепления колеса автомобиля с дорожным покрытием»  ГОСТ 30491-97 «Смеси органоминеральные и грунты, укрепленные органическими вяжущими, для дорожного и аэродромного строительства. Технические условия»  ГОСТ 8269.0-97 «Щебень и гравий из плотных горных пород и отходов промышленного производства для строительных работ. Методы физико-механических испытаний»  ГОСТ 30412-96 «Дороги автомобильные и аэродромы. Методы измерений неровностей оснований и покрытий» ГОСТ Р 52219-2004 «Системы управления автоматические для газовых горелок и аппаратов. Общие технические требования и методы испытаний»  ВСН 8-89 «Инструкция по охране природной среды при строительстве, ремонте и содержании автомобильных дорог»  ВСН 19-89 «Правила приемки работ при строительстве и ремонте автомобильных дорог»  ВСН 26-90 «Инструкция по проектированию и строительству автомобильных дорог нефтяных и газовых промыслов Западной Сибири»  ВСН 37-84 «Инструкция по организации движения и ограждению мест производства дорожных работ»  ВСН 38-90 «Технические указания по устройству дорожных покрытий с шероховатой поверхностью»  ВСН 41-88 «Региональные и отраслевые нормы межремонтных сроков службы нежестких дорожных одежд и покрытий» ВСН 42-91 «Нормы расхода материалов на строительство и ремонт автомобильных дорог и мостов» ВСН 46-83 «Инструкция по проектированию дорожных одежд нежесткого типа»  ВСН 123-77 «Инструкция по устройству покрытий и оснований из щебеночных, гравийных и песчаных материалов, обработанных органическими вяжущими»  ГОСТ 9128-97 «Смеси асфальтобетонные дорожные, аэродромные и асфальтобетон. Технические условия»  ГОСТ 12801-98 «Материалы на основе органических вяжущих для дорожного и аэродромного строительства. Методы испытаний»  ГОСТ 11503-74 «Битумы нефтяные. Метод определения условной вязкости»  ГОСТ 11508-74 «Битумы нефтяные. Методы определения сцепления битума с мрамором и песком»  ГОСТ 7502-98 «Рулетки измерительные металлические. Технические условия» ГОСТ Р 51000.3-96 «Общие требования к испытательным лабораториям»  СНиП 23-01-99* «Строительная климатология»  ГОСТ 10807-78 «Знаки дорожные. Общие технические условия»  СНиП 3.01.01-85* «Организация строительного производства»  СНиП 3.01.04-87 «Приемка в эксплуатацию законченных строительством объектов. Основные положения» СНиП III-4-80* «Техника безопасности в строительстве» ТУ 35-1669-88 «Вяжущие полимерно-битумные на основе ДСТ и полимерасфальтобетон»  ОДН 218.046-01 «Проектирование нежестких дорожных одежд»  СНиП 2.05.02-85* «Автомобильные дороги»  СНиП 3.06.03-85 «Автомобильные дороги»  ГОСТ 305-82 «Топливо дизельное. Технические условия»  СНиП 32-03-96 «Аэродромы»  СНиП 2.05.11-83 «Внутрихозяйственные автомобильные дороги в колхозах, совхозах и других сельскохозяйственных предприятиях и организациях»  ГОСТ 28967-91 «Битумы нефтяные. Рентгенофазовый метод определения парафинов»  ГОСТ 10223-97 «Дозаторы весовые дискретного действия. Общие технические требования»  ОДН 218.0.006-2002 «Правила диагностики и оценки состояния автомобильных дорог»
|