| ||||||||||||||||||||||||||||||||||||
Скачать РД 31.15.01-89 Правила морской перевозки опасных грузов (правила МОПОГ). Том IДата актуализации: 10.08.2017
|
| Обозначение: | РД 31.15.01-89 |
| Обозначение англ: | RD 31.15.01-89 |
| Статус: | действует |
| Название рус.: | Правила морской перевозки опасных грузов (правила МОПОГ). Том I |
| Дата добавления в базу: | 01.09.2013 |
| Дата актуализации: | 05.05.2017 |
| Дата введения: | 15.03.1990 |
| Область применения: | Правила распространяются на перевозку на судах, а также на перегрузку и хранение в портах и портпунктах Министерства морского флота СССР: опасных грузов в упаковке, в том числе сформированных в транспортные пакеты, загруженных в контейнеры или транспортные средства; опасных грузов наливом в вагонах-цистернах, контейнерах-цистернах и автоцистернах; порожних грузовых единиц не очищенных из-под остатков опасных грузов. |
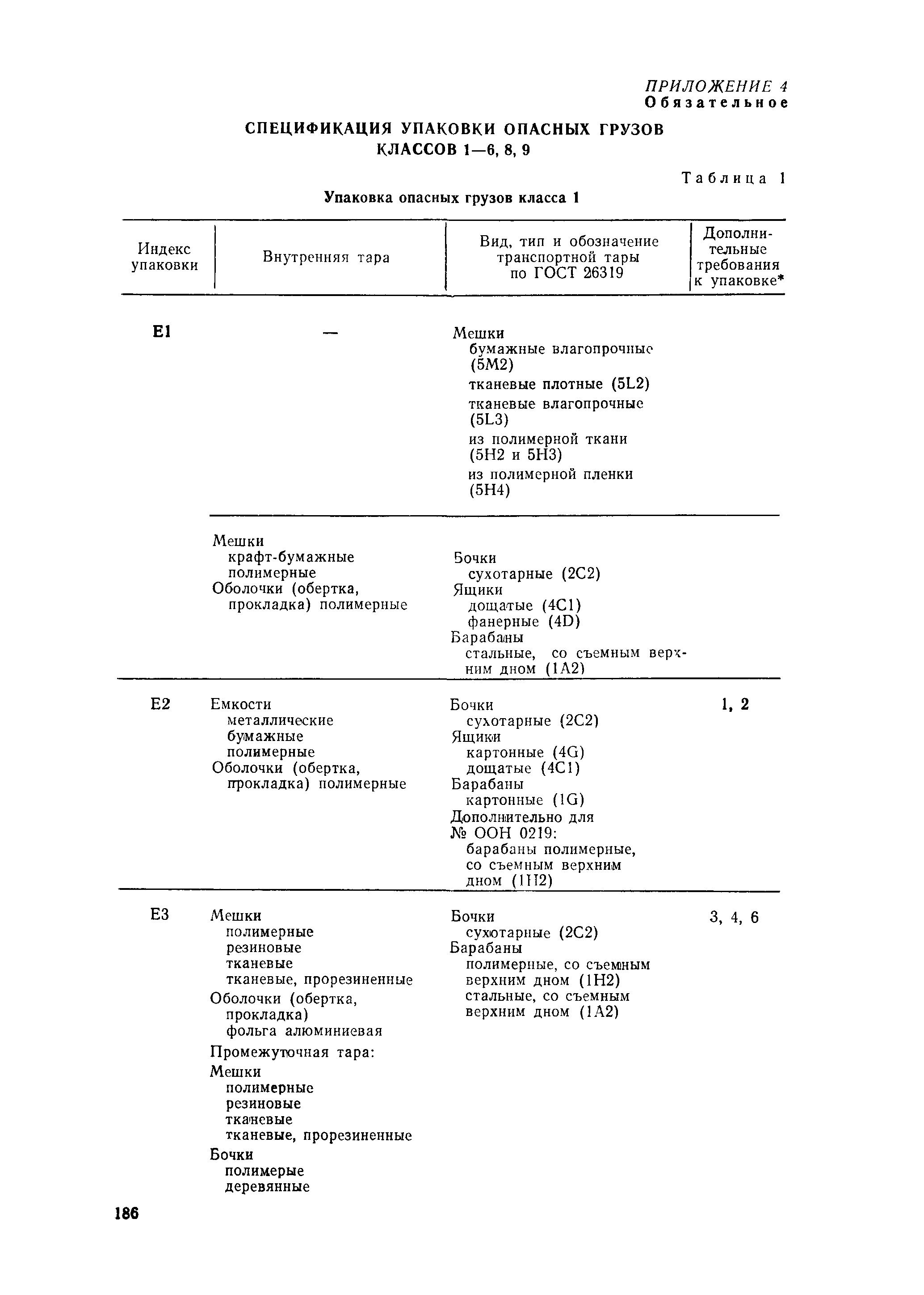
| Оглавление: | 1 Общие положения 2 Требования к упаковке, укрупненным грузовым единицам и транспортным средствам 3 Требования к судам, перевозящим опасные грузы 4 Перевозка опасных грузов 5 Грузовые операции и хранение опасных грузов в портах 6 Пожарная безопасность 7 Безопасность труда при перевозке, перегрузке и хранении опасных грузов 8 Перевозка опасных грузов в специализированных контейнерах 11 Перевозка опасных грузов класса 1 12 Перевозка опасных грузов класса 2 13 Перевозка опасных грузов класса 3 14 Перевозка опасных грузов класса 4 15 Перевозка опасных грузов класса 5 16 Перевозка опасных грузов класса 6 17 Перевозка опасных грузов класса 7 18 Перевозка опасных грузов класса 8 19 Перевозка опасных грузов класса 9.1 Приложение 1 Список терминов, сокращений и условных обозначений Приложение 2 Классификационные таблицы опасных грузов, требования по маркировке грузовых единиц с опасными грузами, опасные грузы в мелкой расфасовке по ГОСТ 19433 Приложение 3 Требования к упаковке и транспортной таре с опасными грузами и их маркировка по ГОСТ 26319 Приложение 4 Спецификация упаковки опасных грузов классов 1-6, 8, 9 Приложение 5 Карты технологического режима перевозки опасных грузов Приложение 6 Средства индивидуальной защиты при работах с опасными грузами Приложение 7 Аварийные карты Приложение 8 Характеристики огнетушащих средств и рекомендации по их применению Приложение 9 Рекомендуемые типы переносных газоанализаторов Приложение 10 Формы грузовых документов на опасные грузы, документов о годности судна к перевозке опасных грузов, карты корректировки оперативного плана Приложение 11 Транспортное наименование опасного груза Приложение 12 Список компетентных органов государств, принявших МК МПОГ Приложение 13 Классификация пестицидов Приложение 14 Допустимая активность изотопов радиоактивных материалов в упаковочных комплектах типа А Приложение 16 Список обобщенных наименований опасных грузов класса 1 Приложение 17 Список опасных грузов, разрешенных к перевозке в контейнерах-цистернах, автоцистернах и вагонах-цистернах Приложение 18 Меры первой медицинской помощи при несчастных случаях, связанных с транспортированием опасных грузов Приложение 19 Характеристика опасного груза Приложение 20 Порядок перехода от серийных номеров ООН опасных грузов к их порядковым номерам по Правилам МОПОГ Приложение 21 Список нормативно-технических документов, на которые имеется ссылка в Правилах МОПОГ Приложение 22 Условия разделения опасных грузов |
| Разработан: | Одесский медицинский институт им. Н.И. Пирогова ЮжНИИМФ ОФ НИИ ГВТ |
| Утверждён: | 03.05.1989 Министерство морского флота СССР (USSR Ministry of the Merchant Marine 56) |
| Издан: | В/О Мортехинформреклама (1990 г. ) |
| Расположен в: | |
| Список изменений: |
|
| Заменяет собой: |
|
| Нормативные ссылки: |
|

























































































































































































































































































































































































































































































































































































































































































Текстовое изменение № 1 от 03.04.1991

















































Текстовое изменение № 2 от 01.01.1993







































































































































































































Текстовое изменение № 3 от 01.07.1998






















































































































































Текстовое изменение опечатки