Информационная система
«Ёшкин Кот»
Скачать базу одним архивом
Скачать обновления
История создания базы
Карта сайта
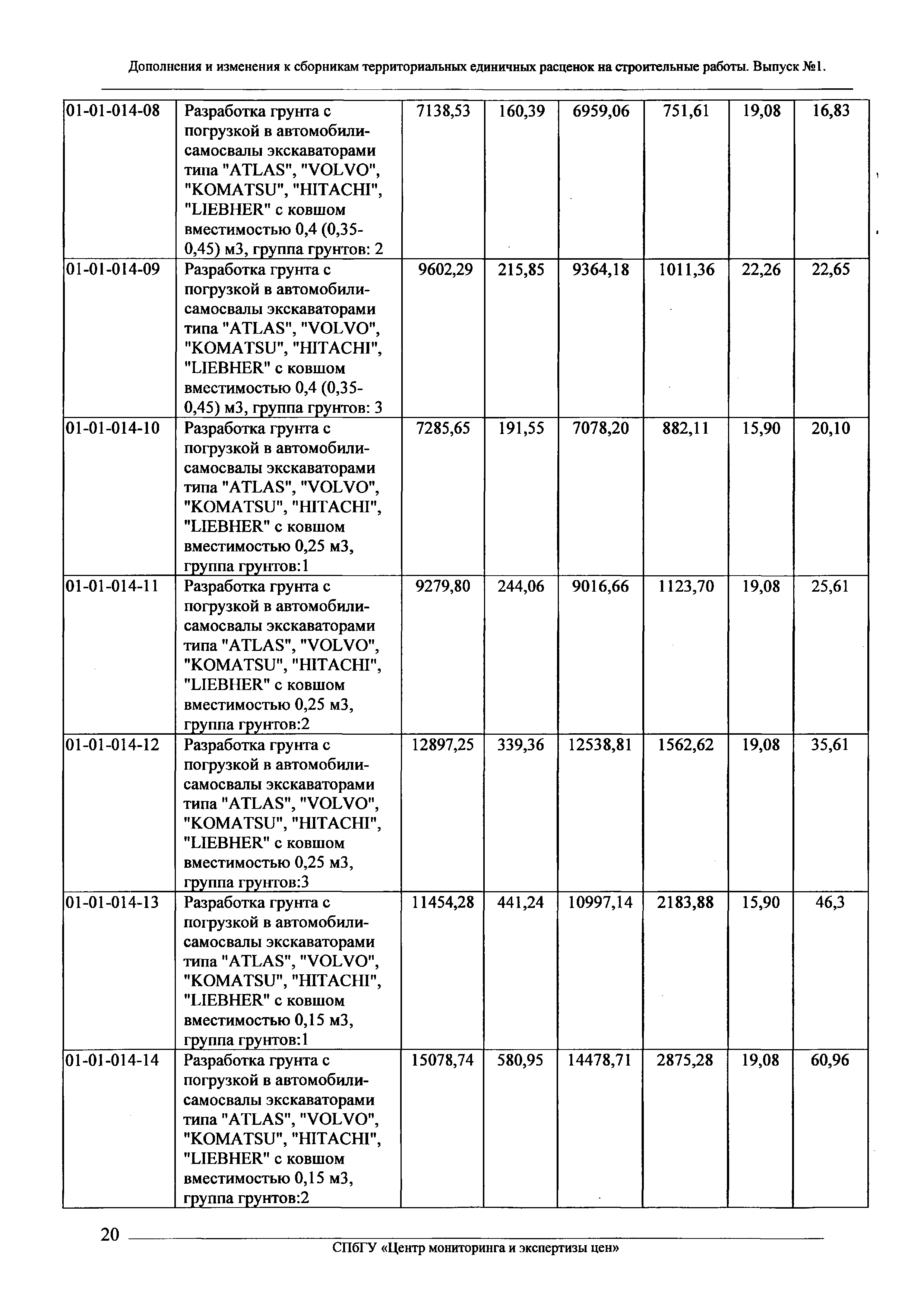
Скачать ТЕР 2001 СПб Территориальные единичные расценки на строительные работы
Дата актуализации: 10.08.2017
ТЕР 2001 СПб
Территориальные единичные расценки на строительные работы
Обозначение:
ТЕР 2001 СПб
Обозначение англ:
TER 2001 СПб
Статус:
действует
Название рус.:
Территориальные единичные расценки на строительные работы
Название англ.:
Regional Unit Prices for Construction Work
Дата добавления в базу:
01.09.2013
Дата актуализации:
05.05.2017
Дата введения:
01.01.2002
Область применения:
Предназначены для определения стоимости работ.
Разработан:
АООТ Стройкорпорация Санкт-Петербурга
ОАО Институт ЛенНИИпроект
Санкт-Петербургский Региональный центр по ценообразованию в строительстве РЦЦС СПБ
Утверждён:
07.09.2001 Администрация Санкт-Петербурга
(Administration of St. Petersburg 223)
Издан:
Издательство Кольна
(2001 г. )
Расположен в:
Техническая документация
Строительство
Нормативные документы
Нормативные документы субъектов Российской Федерации
Нормативные документы г. Санкт-Петербурга
Список изменений:
№ от 01.10.2008
опечатки
Нормативные ссылки:
ТЕР 2001-17 СПб «Водопровод и канализация - внутренние устройства»
ТЕР 2001-15 СПб «Отделочные работы»
ТЕР 2001-09 СПб «Строительные металлические конструкции»
ТЕР 2001-11 СПб «Полы»
ТЕР 2001-12 СПб «Кровли»
ТЕР 2001-08 СПб «Конструкции из кирпича и блоков»
ТЕР 2001-07 СПб «Бетонные и железобетонные конструкции сборные»
ТЕР 2001-19 СПб «Газоснабжение - внутренние устройства»
ТЕР 2001-18 СПб «Отопление - внутренние устройства»
ТЕР 2001-10 СПб «Деревянные конструкции»
ТЕР 2001-13 СПб «Защита строительных конструкций и оборудования от коррозии»
ТЕР 2001-16 СПб «Трубопроводы внутренние»
ТЕР 2001-22 СПб «Водопровод - наружные сети»
ТЕР 2001-23 СПб «Канализация - наружные сети»
ТЕР 2001-20 СПб «Вентиляция и кондиционирование воздуха»
ТЕР 2001-26 СПб «Теплоизоляционные работы»
ТЕР 2001-24 (1) СПб «Теплоснабжение и газопроводы - наружные. Книга 1 Раздел 01. Теплоснабжение - наружные сети. Раздел 03. Золошлакопроводы»
ТЕР 2001-34 (2) СПб «Сооружения связи, радиовещания и телевидения. Книга 2. Раздел 02. Сооружения проводной связи»
ТЕР 2001-30 СПб «Мосты и трубы»
ТЕР 2001-31 СПб «Аэродромы»
ТЕР 2001-27 СПб «Автомобильные дороги»
ТЕР 2001-33(1) СПб «Линии электропередачи. Книга I. Электрические сети напряжением 0,38 - 1150 кВ»
ТЕР 2001-36 СПб «Земляные конструкции гидротехнических сооружений»
ТЕР 2001-46 СПб «Работы при реконструкции зданий и сооружений»
ТЕР 2001-47 СПб «Озеленение. Защитные лесонасаждения»
ТЕР 2001-06 СПб «Бетонные и железобетонные конструкции монолитные»
ТЕР 2001-42 СПб «Берегоукрепительные работы»
ТЕР 2001-32 СПб «Трамвайные пути»
ТЕР 2001-29(1) СПб «Тоннели и метрополитены. Книга 1. Раздел 01. Закрытый способ работ. Раздел 04. Обслуживающие процессы»
ТЕР 2001-05 СПб «Сборник № 5. Свайные работы. Опускные колодцы. Закрепление грунтов»
ТЕР 2001-39 СПб «Сборник № 39. Металлические конструкции гидротехнических сооружений»
ТЕР 2001-10 СПб «Сборник № 10. Деревянные конструкции»
ТЕР 2001-24 СПб «Сборник № 24. Теплоснабжение и газопроводы - наружные сети»
ТЕР 2001-27 СПб «Сборник № 27. Автомобильные дороги»
ТЕР 2001-29 СПб «Сборник № 29. Тоннели и метрополитены»
ТЕР 2001-30 СПб «Сборник № 30. Мосты и трубы»
ТЕР 2001-31 СПб «Сборник № 31. Аэродромы»
ТЕР 2001-32 СПб «Сборник № 32. Трамвайные пути»
ТЕР 2001-33 СПб «Сборник № 33. Линии электропередачи. Книга 1. Электрические сети напряжением 0,38 -1150 кв.»
ТЕР 2001-34 СПб «Сборник № 34. Сооружения связи, радиовещания и телевидения»
ТЕР 2001-01 СПб «Сборник № 1. Земляные работы»
ТЕР 2001-04 СПб «Сборник № 4. Скважины»
ТЕР 2001-06 СПб «Сборник № 6. Бетонные и железобетонные конструкции монолитные»
ТЕР 2001-07 СПб «Сборник № 7. Бетонные и железобетонные конструкции сборные»
ТЕР 2001-08 СПб «Сборник № 8. Конструкции из кирпича и блоков»
ТЕР 2001-09 СПб «Сборник № 9. Строительные металлические конструкции»
ТЕР 2001 СПб «Общие указания по применению территориальных единичных расценок на строительные работы (редакция 2008 г.)»
ТЕР 2001-11 СПб «Сборник № 11. Полы»
ТЕР 2001-12 СПб «Сборник № 12. Кровли»
ТЕР 2001-13 СПб «Сборник № 13. Защита строительных конструкций и оборудования от коррозии»
ТЕР 2001-14 СПб «Сборник № 14. Конструкции в сельском строительстве»
ТЕР 2001-15 СПб «Сборник № 15. Отделочные работы»
ТЕР 2001-16 СПб «Сборник № 16. Трубопроводы внутренние»
ТЕР 2001-17 СПб «Сборник № 17. Водопровод и канализация - внутренние устройства»
ТЕР 2001-18 СПб «Сборник № 18. Отопление - внутренние устройства»
ТЕР 2001-19 СПб «Сборник № 19. Газоснабжение - внутренние устройства»
ТЕР 2001-20 СПб «Сборник № 20. Вентиляция и кондиционирование воздуха»
ТЕР 2001-22 СПб «Сборник № 22. Водопровод - наружные сети»
ТЕР 2001-23 СПб «Сборник № 23. Канализация - наружные сети»
ТЕР 2001-36 СПб «Сборник № 36. Земляные конструкции гидротехнических сооружений»
ТЕР 2001-37 СПб «Сборник № 37. Бетонные и железобетонные конструкции гидротехнических сооружений»
ТЕР 2001-38 СПб «Сборник № 38. Каменные конструкции гидротехнических сооружений»
ТЕР 2001-40 СПб «Сборник № 40. Деревянные конструкции гидротехнических сооружений»
Типовой проект 902-2-171 «Альбом VII. Бункерная для осадка и масла. Технологические чертежи. Архитектурно-строительные чертежи. Санитарно-технические чертежи. Электротехнические чертежи. Заказные спецификации»
ТЕР 2001-41 СПб «Сборник № 41. Гидроизоляционные работы в гидротехнических сооружениях»
ТЕР 2001-42 СПб «Сборник № 42. Берегоукрепительные работы»
ТЕР 2001-46 СПб «Сборник № 46. Работы при реконструкции зданий и сооружений»
ТЕР 2001-47 СПб «Сборник № 47. Озеленение. Защитные лесонасаждения»
ТЕР 2001-26 СПб «Сборник № 26. Теплоизоляционные работы»
ТЕР 2001-04 СПб «Скважины. Книга 1. Книга 2»
ТЕР 2001-37 СПб «Бетонные и железобетонные конструкции гидротехнических сооружений»
ТЕР 2001-38 СПб «Каменные конструкции гидротехнических сооружений»
ТЕР 2001-39 СПб «Металлические конструкции гидротехнических сооружений»
ТЕР 2001-40 СПб «Деревянные конструкции гидротехнических сооружений»
ТЕР 2001-01 СПб «Земляные работы»
ТЕР 2001-05 (1) СПб «Свайные работы. Опускные колодцы. Закрепление грунтов. Книга 1»
ТЕР 2001 СПб «Общие указания по применению Территориальных единичных расценок на строительные работы (редакция 2001 г.)»
ТЕР 2001-41 СПб «Гидроизоляционные работы в гидротехнических сооружениях»
Скачать ТЕР 2001 СПб
Текстовое изменение № от 01.10.2008
Текстовое изменение опечатки
© 2013 Ёшкин Кот :-)
Карта сайта