| ||||||||||||||||||||||||||||||
Скачать ФССЦ 2001 Часть IV. Бетонные, железобетонные и керамические изделия. Нерудные материалы. Товарные бетоны и размеры (редакция 2008 года). Бетонные, железобетонные и керамические изделия. Нерудные материалы. Товарные бетоны и растворы. Федеральный сборник сметных цен на материалы, изделия и конструкции, применяемые в строительствеДата актуализации: 10.08.2017
|
| Обозначение: | ФССЦ 2001 |
| Обозначение англ: | FSSTs 2001 |
| Статус: | не действует |
| Название рус.: | Часть IV. Бетонные, железобетонные и керамические изделия. Нерудные материалы. Товарные бетоны и размеры (редакция 2008 года). Бетонные, железобетонные и керамические изделия. Нерудные материалы. Товарные бетоны и растворы. Федеральный сборник сметных цен на материалы, изделия и конструкции, применяемые в строительстве |
| Дата добавления в базу: | 01.09.2013 |
| Дата актуализации: | 05.05.2017 |
| Область применения: | Федеральные сметные цены на материалы, изделия и конструкции, применяемые в строительстве (ФССЦ) предназначены для определения сметной стоимости строительно-монтажных (ремонтно-строительных) работ, а также при разработке Федеральных единичных расценок на строительные, монтажные и ремонтно-строительные работы. |
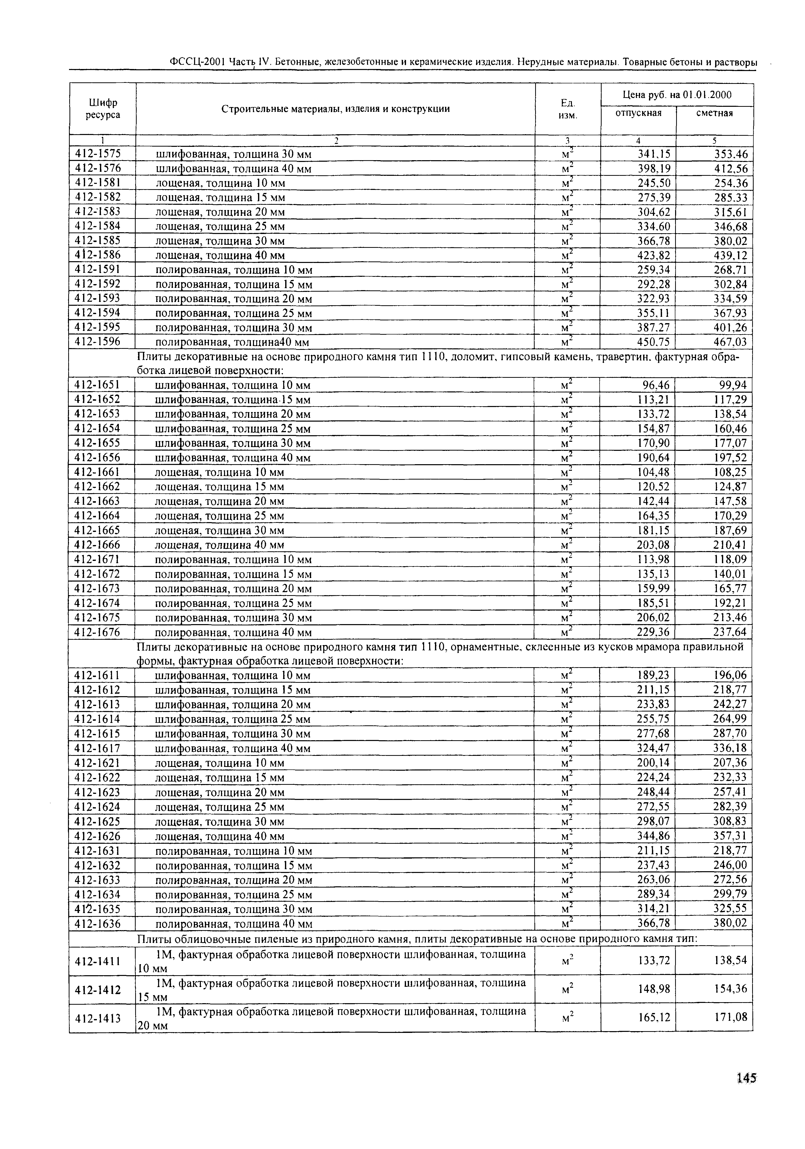
| Оглавление: | Общие положения Техническая часть Раздел 4.01 Бетоны Подраздел: Бетоны готовые к употреблению Подраздел: Сухие бетонные смеси Раздел 4.02 Растворы строительные Подраздел: Растворы готовые к употреблению Подраздел: Сухие растворные смеси Раздел 4.03 Бетонные и железобетонные изделия Подраздел: Бетонные изделия Подраздел: Железобетонные изделия Раздел 4.04 Кирпич, камни, черепица Подраздел: Кирпич Подраздел: Камни, черепица Раздел 4.05 Известь и вяжущие гипсовые Раздел 4.06 Гравий керамзитовый, песок керамзитовый, гравий шунгизитовый, щебень аглопоритовый, другие пористые заполнители Раздел 4.07 Земля, глина, торф, грунт, грунтовые смеси Раздел 4.08 Щебень, гравий, песок и смеси из природных камней Подраздел: Щебень, гравий Подраздел: Песок Подраздел: Смеси Подраздел: Материалы из отсеков дробления изверженных и осадочных горных пород Раздел 4.90 Щебень, песок, шлак и смеси из металлургических шлаков Раздел 4.10 Продукция асфальтобетонная и асфальтобитумная Подраздел: Материалы Подраздел: Смеси асфальтобетонные дорожные, аэродромные и асфальтобетон Подраздел: Асфальт литой Раздел 4.11 Вода, пар, сжатый воздух, электроэнергия Раздел 4.12 Изделия облицовочные из природного камня Подраздел: Изделия архитектурно-строительные Подраздел: Плиты декоративные на основе природного камня Раздел 4.13 Камни бортовые и стеновые из природного камня Раздел 4.14 Материалы для озеленения Раздел 4.15 Гипсовые и цементные изделия Алфавитный указатель |
| Разработан: | Федеральный центр ценообразования в строительстве и промышленности строительных материалов |
| Утверждён: | 25.12.2002 Госстрой России (Russian Federation Gosstroy 165) 08.08.2007 Росстрой (СК-2919/02) |
| Издан: | Росстрой (2008 г. ) |
| Расположен в: | |
| Нормативные ссылки: |
|




































































































































































































































































