Информационная система
«Ёшкин Кот»

Скачать базу одним архивом
Скачать обновления
История создания базы
Карта сайта

Скачать Руководство Руководство по контролю качества электромонтажных работ

Дата актуализации: 10.08.2017

Руководство

Руководство по контролю качества электромонтажных работ

Обозначение: Руководство
Обозначение англ: Guide
Статус:действует
Название рус.:Руководство по контролю качества электромонтажных работ
Дата добавления в базу:01.09.2013
Дата актуализации:05.05.2017
Дата введения:01.01.2002
Область применения:В руководстве приведены извлечения из законодательных актов, директивных документов (Законы, Положения, СНиП, ВСН и др.) по состоянию на 01.01.2002 г., изложены требования к качеству электромонтажных работ (ЭМР), даны объем и нормы приемо-сдаточных испытаний электроустановок различного назначения, дан порядок осуществления контроля качества и приемки работ. Издание включает в себя технические правила, контролируемые параметры и нормируемые допуски, которые необходимо соблюдать при выполнении ЭМР.
Оглавление:Введение
Часть I Организация контроля качества и приемки электромонтажных работ
   Глава 1.1 Общие положения
   Глава 1.2 Государственный надзор за качеством производства электромонтажных работ
   Глава 1.3 Технический надзор заказчика
   Глава 1.4 Авторский надзор
   Глава 1.5 Производственный контроль
   Глава 1.6 Контрольные функции электролаборатории
   Глава 1.7 Пусконаладочные работы
   Глава 1.8 Сдача объектов в эксплуатацию
   Глава 1.9 Основные положения по сертификации электроустановок зданий
Часть II Контроль качества монтажа электроустановок зданий различного назначения
   Глава 2.1 Жилые и общественные здания
   Глава 2.2 Индивидуальные жилые дома и коттеджи повышенной комфортности
   Глава 2.3 Дачные (садовые) дома и хозяйственные постройки на участках; гаражи, киоски, палатки
   Глава 2.4 Предприятия торговли и общественного питания
Часть III Контроль качества монтажа отдельных видов электроустановок
   Глава 3.1 Заземляющие устройства электроустановок
   Глава 3.2 Кабельные линии напряжением до 10 кВ включительно
   Глава 3.3 Воздушные линии электропередачи напряжением до 1 кВ
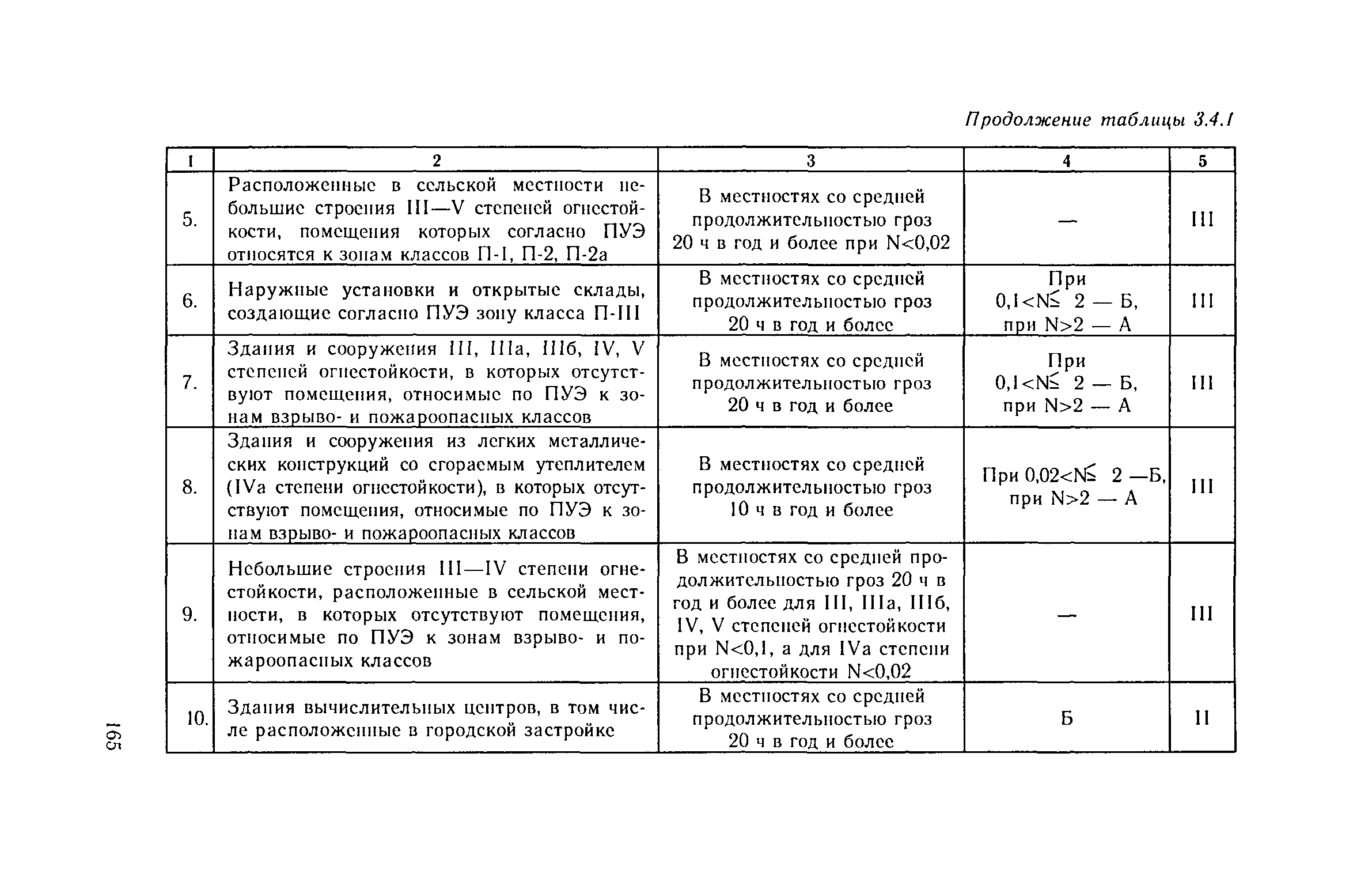
   Глава 3.4 Молниезащита зданий и сооружений
   Глава 3.5 Системы и комплексы противопожарной защиты и охранной сигнализации
Приложение 1.6.1 Положение об электротехнической лаборатории (ЭТЛ)
Приложение 1.6.2 Инструкция о порядке регистрации электротехнических лабораторий, выполняющих работы по испытаниям и измерениям в электроустановках потребителей, и надзоре за их деятельностью
Приложение 1.7.1 Акт рабочей комиссии о приемке оборудования после индивидуального испытания
Приложение 1.7.2 Акт рабочей комиссии о приемке оборудования после комплексного опробования
Приложение 1.9.1 Схема взаимодействия между участниками сертификации
Приложение 1.9.2 О сертификации электроустановок зданий на территории Санкт-Петербурга
Приложение 2.1.1 КОМПЛЕКС СТАНДАРТОВ «Электроустановки зданий»
Приложение 2.1.2 Метод измерения сопротивления изоляции пола и стен
Приложение 2.1.3 Проверка работы УЗО
Приложение 2.1.4 Акт технической готовности электромонтажных работ
Приложение 2.1.5 Акт проверки надежности крепления закладных деталей (крюков) для подвески светильников
Приложение 2.1.6 Акт проверки осветительной сети на функционирование и правильность монтажа установочных аппаратов
Приложение 2.1.7 Акт освидетельствования скрытых работ
Приложение 2.1.8 Протокол измерения сопротивления изоляции проводов и кабелей
Приложение 2.1.9 Протокол проверки полного сопротивления петли «фаза-нуль», обеспечения условий срабатывания защиты при однофазном коротком замыкании на корпус эл. оборудования или нулевой провод прибором типа М-417
Приложение 2.1.10 Протокол проверки петли «фаза-нуль», путем непосредственного замера тока однофазного короткого замыкания на корпус эл. оборудования (нулевой привод) прибора типа Щ-41160 или ЭК 0200
Приложение 2.1.11 Требования ГОСТ Р 50571.16-99 к содержанию протокола испытаний электроустановки здания
Приложение 3.1.1 Протокол измерения сопротивления растеканию тока контура заземления (заземляющего устройства)
Приложение 3.1.2 Протокол проверки целости цепи заземления
Приложение 3.1.3 Протокол определение удельного сопротивления грунта
Приложение 3.2.1 Акт на скрытые работы по прокладке кабеля
Приложение 3.5.1 Производственная документация, оформляемая при монтаже технических средств сигнализации
Литература
Разработан: ООФ Центр качества строительства
Петербургэнергонадзор
Утверждён:01.01.2002 ООФ Центр качества строительства
Издан: Санкт-Петербург Издательский Дом КН+ (2002 г. )
Расположен в:Техническая документация Экология СТРОИТЕЛЬНЫЕ МАТЕРИАЛЫ И СТРОИТЕЛЬСТВО Установки в зданиях Системы электроснабжения Строительство Справочные документы Директивные письма, положения, рекомендации и др.
Нормативные ссылки:
Руководство Руководство Руководство Руководство Руководство Руководство Руководство Руководство Руководство Руководство Руководство Руководство Руководство Руководство Руководство Руководство Руководство Руководство Руководство Руководство Руководство Руководство Руководство Руководство Руководство Руководство Руководство Руководство Руководство Руководство Руководство Руководство Руководство Руководство Руководство Руководство Руководство Руководство Руководство Руководство Руководство Руководство Руководство Руководство Руководство Руководство Руководство Руководство Руководство Руководство Руководство Руководство Руководство Руководство Руководство Руководство Руководство Руководство Руководство Руководство Руководство Руководство Руководство Руководство Руководство Руководство Руководство Руководство Руководство Руководство Руководство Руководство Руководство Руководство Руководство Руководство Руководство Руководство Руководство Руководство Руководство Руководство Руководство Руководство Руководство Руководство Руководство Руководство Руководство Руководство Руководство Руководство Руководство Руководство Руководство Руководство Руководство Руководство Руководство Руководство Руководство Руководство Руководство Руководство Руководство Руководство Руководство Руководство Руководство Руководство Руководство Руководство Руководство Руководство Руководство Руководство Руководство Руководство Руководство Руководство Руководство Руководство Руководство Руководство Руководство Руководство Руководство Руководство Руководство Руководство Руководство Руководство Руководство Руководство Руководство Руководство Руководство Руководство Руководство Руководство Руководство Руководство Руководство Руководство Руководство Руководство Руководство Руководство Руководство Руководство Руководство Руководство Руководство Руководство Руководство Руководство Руководство Руководство Руководство Руководство Руководство Руководство Руководство Руководство Руководство Руководство Руководство Руководство Руководство Руководство Руководство Руководство Руководство Руководство Руководство Руководство Руководство Руководство Руководство Руководство Руководство Руководство Руководство Руководство Руководство Руководство Руководство Руководство Руководство Руководство Руководство Руководство Руководство Руководство Руководство Руководство Руководство Руководство Руководство Руководство Руководство Руководство Руководство Руководство Руководство Руководство Руководство Руководство Руководство Руководство Руководство Руководство Руководство Руководство Руководство Руководство Руководство Руководство Руководство Руководство Руководство Руководство Руководство Руководство Руководство Руководство Руководство Руководство Руководство Руководство Руководство Руководство Руководство Руководство Руководство Руководство Руководство Руководство Руководство Руководство Руководство Руководство Руководство Руководство Руководство

© 2013 Ёшкин Кот :-) Карта сайта