Информационная система
«Ёшкин Кот»

Скачать базу одним архивом
Скачать обновления
История создания базы
Карта сайта

Скачать Книга 01: Материалы для строительных и дорожных работ. Федеральные сметные цены на материалы изделия, конструкции и оборудование, применяемые в строительстве. Федеральный сборник сметных цен на материалы, изделия и конструкции, применяемые в строительстве

Дата актуализации: 10.08.2017

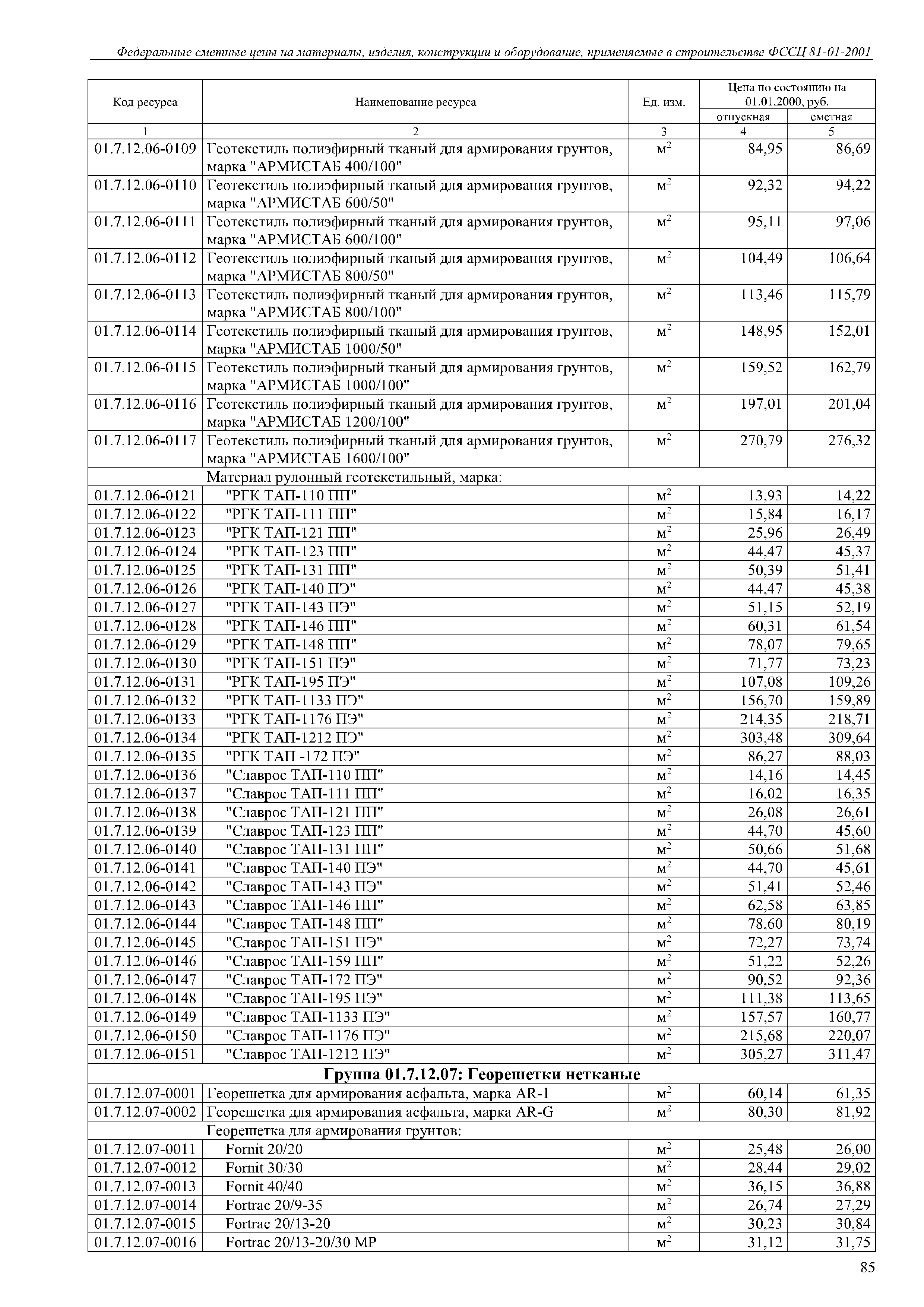
Книга 01: Материалы для строительных и дорожных работ. Федеральные сметные цены на материалы изделия, конструкции и оборудование, применяемые в строительстве. Федеральный сборник сметных цен на материалы, изделия и конструкции, применяемые в строительстве

Статус:действует
Название рус.:Книга 01: Материалы для строительных и дорожных работ. Федеральные сметные цены на материалы изделия, конструкции и оборудование, применяемые в строительстве. Федеральный сборник сметных цен на материалы, изделия и конструкции, применяемые в строительстве
Дата добавления в базу:05.05.2017
Дата актуализации:05.05.2017
Дата введения:28.04.2017
Область применения:Государственные сметные нормативы "Федеральные сметные цены на материалы, изделия, конструкции и оборудование, применяемые в строительстве" предназначены для определения сметной стоимости строительства, реконструкции и капитального ремонта объектов капитального строительства.
Оглавление:Часть 01.1: Материалы, изделия и конструкции хризотилсодержащие
   Раздел 01.1.01: Изделия и конструкции хризотилцементные (23.65.12 ОКПД2 Изделия из асбестоцемента, цемента с волокнами целлюлозы или аналогичных материалов)
   Раздел 01.1.02: Материалы хризотилсодержащие
Часть 01.2: Битумы и битумная продукция, дегти
   Раздел 01.2.01: Битумы
   Раздел 01.2.02: Дегти
   Раздел 01.2.03: Продукция битумная
Часть 01.3: ГСМ, газы, химическая продукция
   Раздел 01.3.01: ГСМ, смазки
   Раздел 01.3.02: Газы
   Раздел 01.3.03: Кислоты
   Раздел 01.3.04: Масла
   Раздел 01.3.05: Материалы и реактивы химические
Часть 01.4: Материалы для буровых и проходческих работ
   Раздел 01.4.01: Инструменты для бурения скальных пород или грунтов
   Раздел 01.4.02: Комплектующие (запасные части) бурильных и проходческих машин
   Раздел 01.4.03: Материалы и изделия для буровых и проходческих работ
   Раздел 01.4.04: Фильтры для буровых работ
Часть 01.5: Средства организации дорожного движения
   Раздел 01.5.01: Материалы для дорожной разметки
   Раздел 01.5.02: Ограждения дорожные
   Раздел 01.5.03: Элементы технического регулирования
Часть 01.6: Материалы и изделия облицовочные и оклеечные
   Раздел 01.6.01: Листы, панели и плиты
   Раздел 01.6.02: Обои и другие покрытия
   Раздел 01.6.03: Покрытия из поливинилхлорида
   Раздел 01.6.04: Потолки подвесные и натяжные
Часть 01.7: Материалы и изделия строительного и специального назначения
   Раздел 01.7.01: Барьеры и сетки специальные
   Раздел 01.7.02: Бумаги и картоны (17.12 ОКПД2 Бумага и картон)
   Раздел 01.7.03: Вода, пар, воздух, электроэнергия
   Раздел 01.7.04: Изделия скобяные и фурнитура
   Раздел 01.7.05: Лакостеклоткани, стеклотекстолиты, текстолиты
   Раздел 01.7.06: Ленты строительные
   Раздел 01.7.07: Материалы вспомогательного назначения
   Раздел 01.7.08: Материалы вяжущие и добавки, мел
   Раздел 01.7.09: Материалы для взрывных работ
   Раздел 01.7.10: Материалы для реставрационно-восстановительных работ
   Раздел 01.7.11: Материалы для сварочных работ
   Раздел 01.7.12: Материалы и изделия геосинтетические
   Раздел 01.7.13: Материалы и изделия из асфальта
   Раздел 01.7.14: Материалы полимерные
   Раздел 01.7.15: Метизы
   Раздел 01.7.16: Опалубки, леса, подмости
   Раздел 01.7.17: Оснастки технологические и инструментальные
   Раздел 01.7.18: Полы теплые
   Раздел 01.7.19: Резина и изделия резинотехнические (22.19 ОКПД2 Изделия из резины прочие)
   Раздел 01.7.20: Текстиль и материалы текстильные
Часть 01.8: Стекло строительное и изделия из стекла
   Раздел 01.8.01: Изделия из стекла
   Раздел 01.8.02: Стекло строительное
Утверждён:30.12.2016 Минстрой России (Russian Federation Minstroy 1039/пр)
Расположен в:Техническая документация Строительство Нормативные документы Документы Системы нормативных документов в строительстве Нормативные документы по экономике к.81 Ценообразование и сметы Классификатор ISO Нормативные документы по экономике Ценообразование и сметы
Нормативные ссылки:

© 2013 Ёшкин Кот :-) Карта сайта