Информационная система
«Ёшкин Кот»

Скачать базу одним архивом
Скачать обновления
История создания базы
Карта сайта

Скачать Схемы операционного контроля качества строительных, ремонтно-строительных и монтажных работ

Дата актуализации: 10.08.2017

Схемы операционного контроля качества строительных, ремонтно-строительных и монтажных работ

Статус:действует
Название рус.:Схемы операционного контроля качества строительных, ремонтно-строительных и монтажных работ
Дата добавления в базу:01.09.2013
Дата актуализации:05.05.2017
Область применения:Издание предназначено для заказчиков (застройщиков), строительно-монтажных организаций, специалистов государственного строительного надзора, а также инженерно-технических работников, непосредственно занятых на строительстве зданий и сооружений
Оглавление:Введение
Нормативные документы, регламентирующие качество строительно-монтажных работ, строительных материалов, изделий и конструкций
Методы испытаний и контроля качества строительных материалов, изделий и конструкций при выполнении строительно-монтажных работ
Часть 1. Строительные работы
   А. Земляные работы
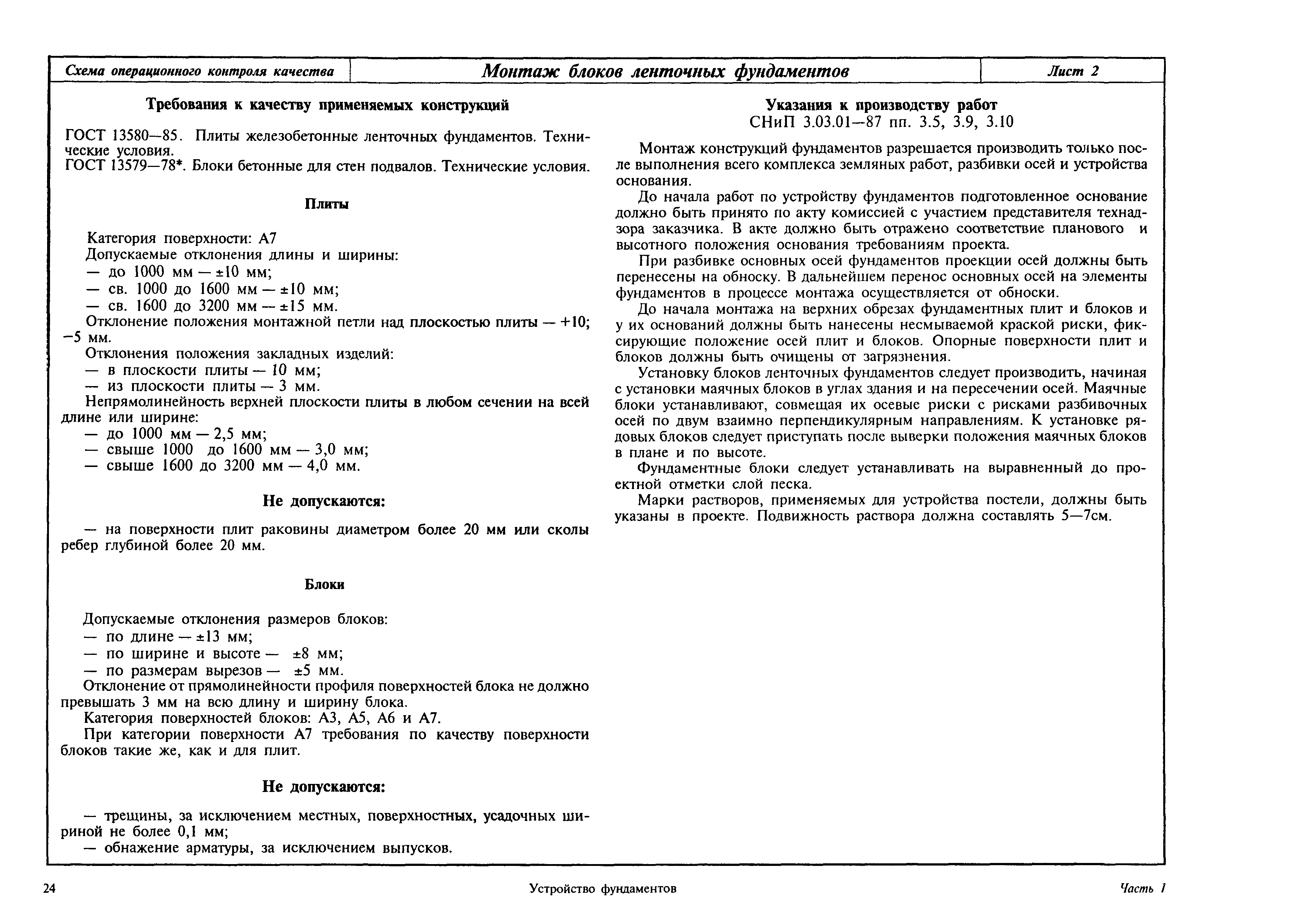
   Б. Устройство фундаментов
   В. Бетонные работы
   Г. Каменные работы
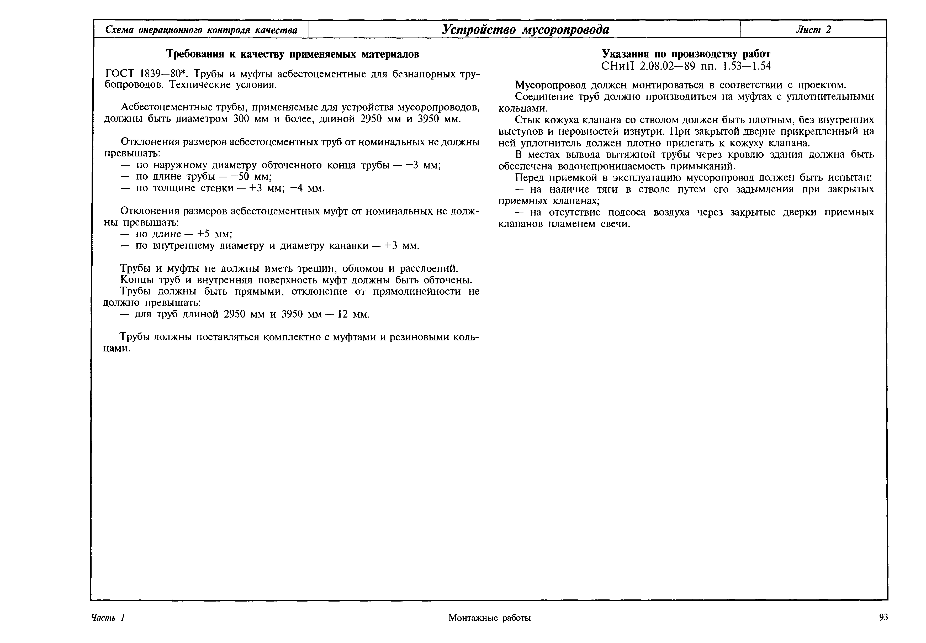
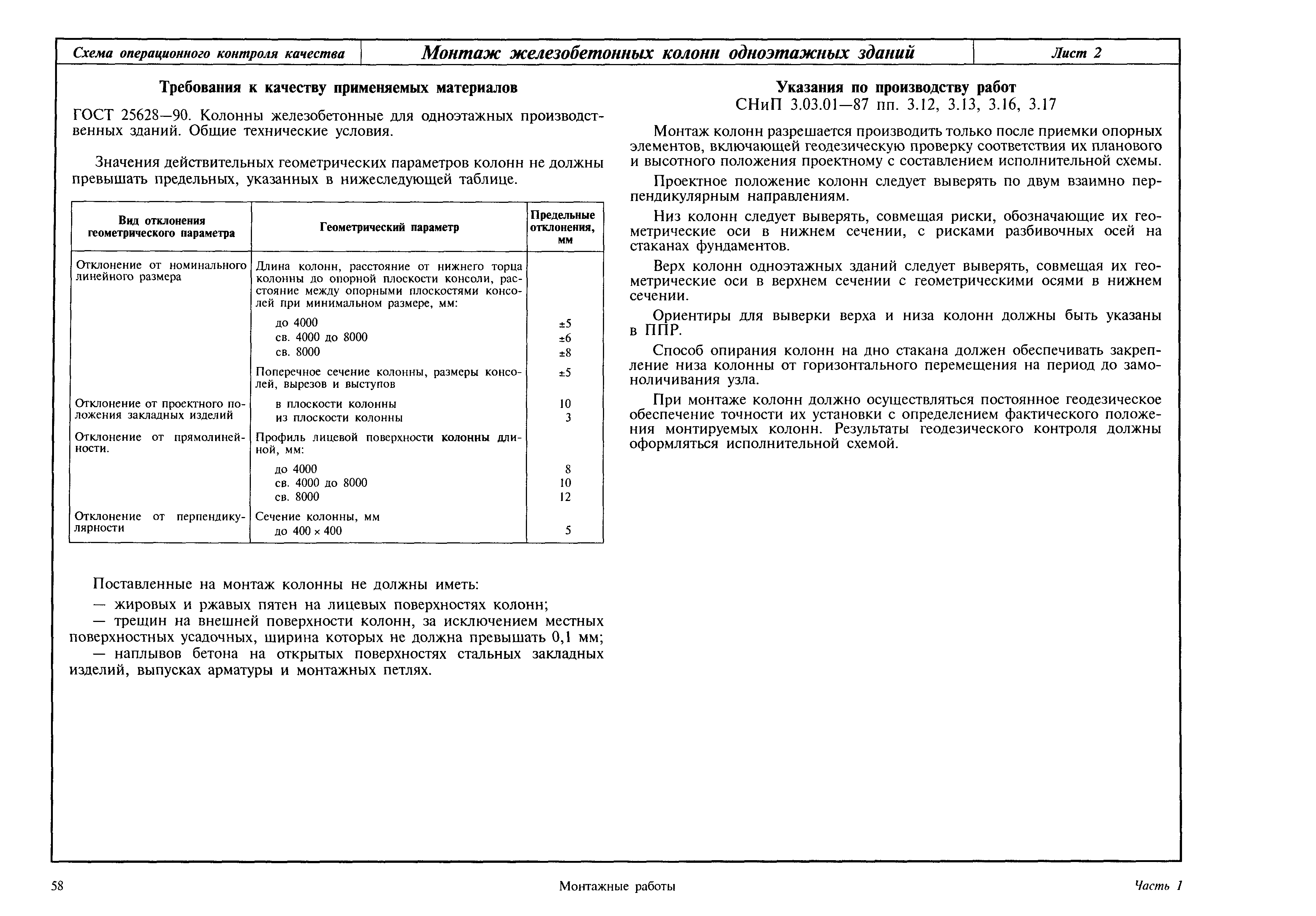
   Д. Монтажные работы
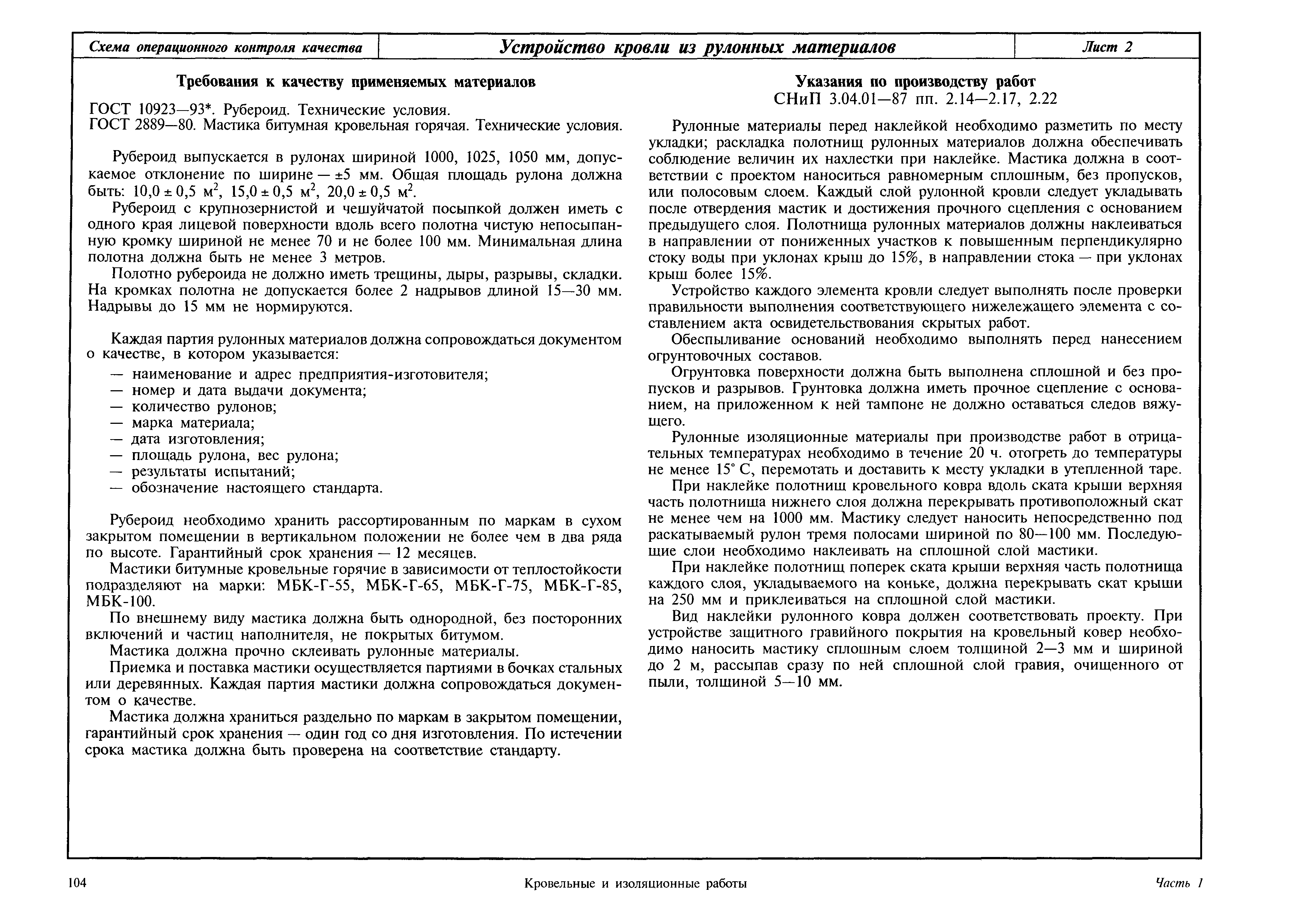
   Е. Кровельные и изоляционные работы
   Ж. Столярные работы
   З. Устройство полов
   И. Отделочные работы
   К. Благоустройство
Часть 2. Ремонтно-строительные работы
Часть 3. Монтажные работы
Издан: Центр качества строительства (2007 г. )
Расположен в:Техническая документация Экология ГРАЖДАНСКОЕ СТРОИТЕЛЬСТВО Земляные работы. Выемка грунта. Сооружение фундаментов. Подземные работы СТРОИТЕЛЬНЫЕ МАТЕРИАЛЫ И СТРОИТЕЛЬСТВО Технология строительства Организация и порядок производства работ. Управление качеством и обеспечение качества Строительство Справочные документы Директивные письма, положения, рекомендации и др.
Чем заменён:
Нормативные ссылки:

© 2013 Ёшкин Кот :-) Карта сайта